oleh

Turun Drastis! Kasus Baru Corona Riau 1 Februari, 120 Sembuh, 3 Meninggal

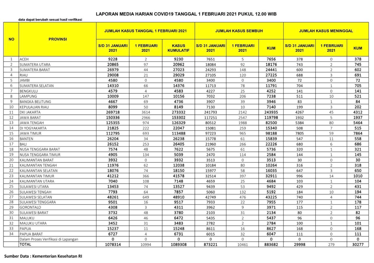
PEKANBARU – Kasus positif virus Corona (Covid-19) di Republik Indonesia (RI), Senin  (1/2/2021), bertambah 10.994 orang. Dengan penambahan tersebut, total kasus positif virus Corona di Indonesia menjadi 1.089.308 kasus.

Sementara untuk Provinsi Riau, pasien positif Corona bertambah 21 orang. Dengan demikian, total pasien Covid-19 di Riau berjumlah 29.029 pandemi Covid-19 menyerang Indonesia.

Berdasarkan situs Kementerian Kesehatan RI, hari ini dilaporkan juga ada 10.461 pasien sembuh dari Corona. Dengan penambahan itu, maka pasien sembuh dari Corona di Indonesia menjadi 883.682 orang.

Baca Juga  Knalpot Brong, 16 Sepeda Motor Diamankan Satlantas Polresta Pekanbaru

Khusus Provinsi Riau, pasien positif Covid-19 yang sembuh hari ini berjumlah 120 orang. Dengan demikian, total pasien sembuh di Negeri Lancang Kuning itu menjadi 27.225 orang.

Di sisi lain, pasien positif Corona yang meninggal dunia di Indonesia hari ini ada 279 orang. Dengan demikian, total pasien positif Covid-19 yang meninggal menjadi 30.227 orang.

Sementara pasien Covid-19 yang meninggal karena Corona di Provinsi Riau hari ini ada 3 orang, dengan demikian total sudah mencapai 691 orang.

Baca Juga  Wujudkan Reforma Agraria Sesuai Konteks Masyarakat Hukum Adat Sumbar

Berikut sebaran 10.994 kasus baru Corona di Indonesia, Senin (1/2/2021):

DKI Jakarta: 3.614 kasus
Jawa Barat: 2.966 kasus
Jawa Tengah: 974 kasus
Jawa Timur: 693 kasus
Sulawesi Selatan: 649 kasus
Kalimantan Timur: 366 kasus
Bali: 253 kasus
DI Yogyakarta: 222 kasus
Lampung: 147 kasus
Nusa Tenggara Timur: 134 kasus
Kalimantan Utara: 108 kasus
Sumatera Utara: 97 kasus
Kalimantan Selatan: 74 kasus
Sulawesi Utara: 74 kasus
Bangka Belitung: 69 kasus
Sumatera Selatan: 66 kasus
Sulawesi Tengah: 64 kasus
Kalimantan Tengah: 62 kasus
Kepulauan Riau: 50 kasus
Nusa Tenggara Barat: 48 kasus
Sulawesi Barat: 48 kasus
Maluku: 46 kasus
Sumatera Barat: 44 kasus
Banten: 34 kasus
Maluku Utara: 31 kasus
Riau: 21 kasus
Sulawesi Tenggara: 16 kasus
Papua: 11 kasus
Bengkulu: 4 kasus
Papua Barat: 4 kasus
Gorontalo: 3 kasus
Aceh: 2 kasus. (zon/riausatu.com)

News Feed