oleh

Update Corona Riau 1 Desember, Tambah 163 Kasus, 292 Sembuh

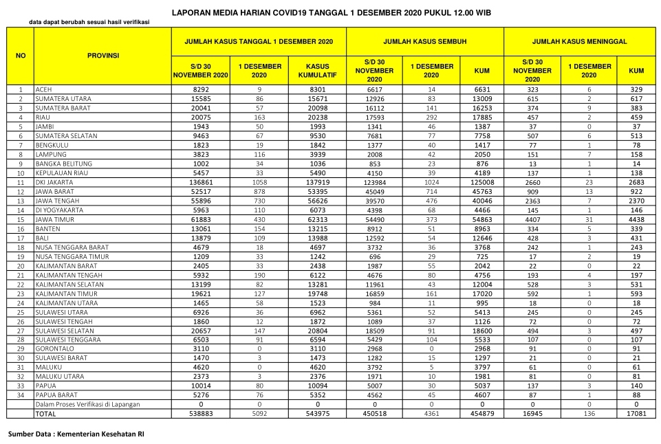
PEKANBARU – Kasus positif virus Corona (Covid-19) di  Indonesia, Selasa (1/12/2020), bertambah 5.092  orang. Dengan penambahan tersebut, total kasus positif virus Corona di Indonesia menjadi 543.975 orang.

Sementara untuk Provinsi Riau, pasien positif Corona bertambah 163 orang. Dengan demikian, total pasien Covid-19 di Riau berjumlah 20.238 orang sejak pandemi Covid-19 menyerang Indonesia.

Berdasarkan situs Kementerian Kesehatan RI, hari ini dilaporkan juga ada 4.361 pasien sembuh dari Corona. Dengan penambahan itu, maka pasien sembuh dari Corona di Indonesia  menjadi 454.879 orang.

Khusus Provinsi Riau, pasien positif Covid-19 yang sembuh hari ini berjumlah 292 orang. Dengan demikian, total pasien sembuh di Negeri Lancang Kuning itu menjadi 17.885 orang.

Baca Juga  Kasus Baru Corona RI 9 Januari Tambah 529, Riau Sumbang 1

Di sisi lain, pasien positif Corona yang meninggal dunia di Indonesia hari ini ada 136 orang. Dengan demikian, total pasien positif Covid-19 yang meninggal menjadi 17.081 orang.

Sementara pasien Covid-19 yang meninggal karena Corona di Provinsi Riau hari ini ada 2 orang, dengan demikian total sudah mencapai 459 orang. (zon/riausatu.com)

News Feed