oleh

Hiks! Hari Ini Kasus Baru Corona di Riau Kembali Naik, 177 Sembuh

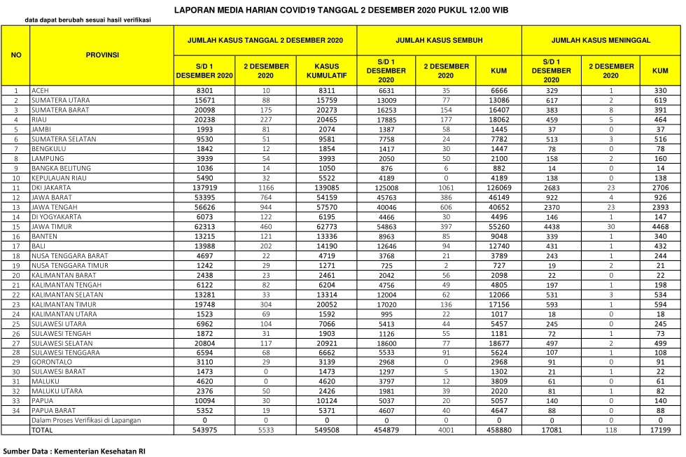
PEKANBARU – Kasus positif virus Corona (Covid-19) di  Indonesia, Rabu  (2/12/2020), bertambah 5.533 orang. Dengan penambahan tersebut, total kasus positif virus Corona di Indonesia menjadi 549.508 orang

Sementara untuk Provinsi Riau, pasien positif Corona bertambah 227 orang. Dengan demikian, total pasien Covid-19 di Riau berjumlah 20.465 orang sejak pandemi Covid-19 menyerang Indonesia.

Berdasarkan situs Kementerian Kesehatan RI, hari ini dilaporkan juga ada 4.001 pasien sembuh dari Corona. Dengan penambahan itu, maka pasien sembuh dari Corona di Indonesia  menjadi 458.880 orang.

Baca Juga  Update Corona Riau 6 November: 143 Kasus Baru, 207 Sembuh, 7 Meninggal

Khusus Provinsi Riau, pasien positif Covid-19 yang sembuh hari ini berjumlah 177 orang. Dengan demikian, total pasien sembuh di Negeri Lancang Kuning itu menjadi 18.062 orang.

Di sisi lain, pasien positif Corona yang meninggal dunia di Indonesia hari ini ada 118 orang. Dengan demikian, total pasien positif Covid-19 yang meninggal menjadi 17.119 orang.

Sementara pasien Covid-19 yang meninggal karena Corona di Provinsi Riau hari ini ada 5 orang, dengan demikian total sudah mencapai 464 orang.

Baca Juga  Nihil Kasus Baru Corona Riau 2 Januari, Ini Sebaran Lengkapnya

Berikut sebaran 5.533 kasus baru Corona di Indonesia, Rabu  (2/12/2020):

DKI Jakarta: 1.116 kasus
Jawa Tengah: 944 kasus
Jawa Barat: 764 kasus
Jawa Timur: 460 kasus
Kalimantan Timur: 304 kasus
Riau: 227 kasus
Bali: 202 kasus
Sumatera Barat: 175 kasus
DI Yogyakarta: 122 kasus
Banten: 121 kasus
Sulawesi Selatan: 117 kasus
Sulawesi Utara: 104 kasus
Sumatera Utara: 88 kasus
Kalimantan Tengah: 82 kasus
Jambi: 81 kasus
Kalimantan Utara: 69 kasus
Sulawesi Tenggara: 68 kasus
Lampung: 54 kasus
Sumatera Selatan: 51 kasus
Maluku Utara: 50 kasus
Kalimantan Selatan: 33 kasus
Kalimantan Selatan: 32 kasus
Sulawesi Tengah: 31 kasus
Papua: 30 kasus
Nusa Tenggara Timur: 29 kasus
Gorontalo: 29 kasus
Kalimantan Barat: 23 kasus
Nusa tenggara Barat: 22 kasus
Papua Barat: 19 kasus
Bangka Belitung: 14 kasus
Bengkulu: 12 kasus
Aceh: 10 kasus. (zon/riausatu.com)

News Feed