oleh

Update Corona di Riau 4 Maret: Tambah 87 Kasus Baru, 70 Sembuh, 4 Meninggal

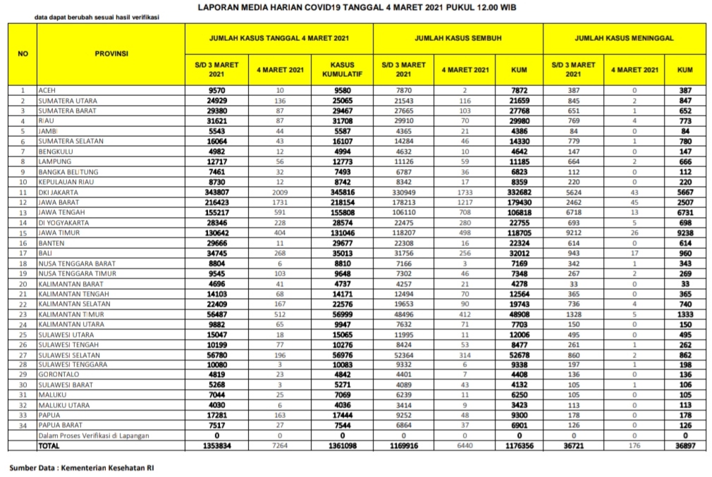
PEKANBARU – Kasus positif virus Corona (Covid-19) di Republik Indonesia (RI), Kamis (4/3/2021), bertambah 7.264 orang. Dengan penambahan tersebut, total kasus positif virus Corona di Indonesia menjadi
1.361.098 kasus.

Sementara untuk Provinsi Riau, pasien positif Corona bertambah 87 orang. Dengan demikian, total pasien Covid-19 di Riau berjumlah 31.708 orang sejak pandemi Covid-19 menyerang Indonesia.

Berdasarkan situs Kementerian Kesehatan RI, hari ini dilaporkan juga ada 6.440 pasien sembuh dari Corona. Dengan penambahan itu, maka pasien sembuh dari Corona di Indonesia menjadi 1.176.356 orang.

Baca Juga  Lagi, Hari Ini Tidak Ada Pasien Corona di Riau Wafat, Berikut Data Lengkapnya

Khusus Provinsi Riau, pasien positif Covid-19 yang sembuh hari ini berjumlah 70 orang. Dengan demikian, total pasien sembuh di Negeri Lancang Kuning itu menjadi 29.980 orang.

Di sisi lain, pasien positif Corona yang meninggal dunia di Indonesia hari ini ada 176 orang. Dengan demikian, total pasien positif Covid-19 yang meninggal menjadi 36.897 orang.

Sementara pasien Covid-19 yang meninggal karena Corona di Provinsi Riau hari ini ada 4 orang, dengan demikian total sudah mencapai 773 orang.

Baca Juga  Praktisi Migas Kritisi Merosotnya Deviden PT BSP, Ini Kata-katanya

Berikut sebaran 7.264 kasus baru Corona di Indonesia, Kamis (4/3/2021):

DKI Jakarta: 2.009 kasus

Jawa Barat: 1.731 kasus

Jawa Tengah: 591 kasus

Kalimantan Timur: 512 kasus

Jawa Timur: 404 kasus

Bali: 268 kasus

DI Yogyakarta: 228 kasus

Sulawesi Selatan: 196 kasus

Kalimantan Selatan: 167 kasus

Papua: 163 kasus

Sumatera Utara: 136 kasus

Nusa Tenggara Timur: 103 kasus

Sumatera Barat: 87 kasus

Riau: 87 kasus

Baca Juga  Sama Kemarin! Riau Catat 225 Kasus Baru Corona Hari Ini, Meninggal 3 Orang

Sulawesi Tengah: 77 kasus

Kalimantan Tengah: 68 kasus

Kalimantan Utara: 65 kasus

Lampung: 56 kasus

Jambi: 44 kasus

Sumatera Selatan: 43 kasus

Kalimantan Barat: 41 kasus

Bangka Belitung: 32 kasus

Papua Barat: 27 kasus

Maluku: 25 kasus

Gorontalo: 23 kasus

Sulawesi Utara: 18 kasus

Bengkulu: 12 kasus

Kepulauan Riau: 12 kasus

Banten: 11 kasus

Aceh: 10 kasus

Nusa Tenggara Barat: 6 kasus

Maluku Utara: 6 kasus

Sulawesi Tenggara: 3 kasus

Sulawesi Barat: 3 kasus. (zon/riausatu.com)

News Feed