oleh

Rekor Baru! Kasus Corona di Riau Bertambah 71 Orang Hari Ini

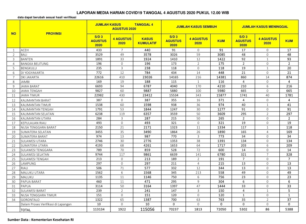
PEKANBARU – Kasus positif virus Corona (COVID-19) di Indonesia per 4 Agustus 2020 bertambah 1.922. Dengan penambahan tersebut, total kasus positif virus Corona di Indonesia hari ini menjadi 115.056.

Khusus Riau, pecah rekor baru, karena hari ini, Selasa (4/8/2020), pasien positif Covid-19 bertambah 71 orang. Setelah rekor sebelumnya, Senin (4/8/2020), di mana lonjakan pasien positif Covid-19 di Riau 50 kasus.

Dari data Kementerian Kesehatan RI, per hari ini, Selasa (4/8/2020),
dengan penambahan 71 kasus baru tersebut, total akumulasi positif Covid-19 di Riau mencapai 577 kasus.

“Hari ini di Riau terdapat penambahan 71 kasus terkonfirmasi Covid-19. Ini penambahan paling banyak sejak pandemi Covid-19 Maret lalu,” ujar Kepala Dinas Kesehatan Provinsi Riau, Mimi Yuliani Nazir, kepada media siber ini, barusan.

Baca Juga  Riau di Atas 400, Ini Sebaran 7.427 Kasus Baru Corona RI 29 Agustus

Menurutnya, penambahan kasus di Riau ini merupakan hasil traking kontak tim kesehatan kabupaten/kota yang terkait kasus sebelumnya. “Artinya, survelennya jalan. Dan, kita berharap itu bisa memutuskan mata rantai penularan Covid-19 di Riau,” sebutnya. (zon/riausatu.com)

Komentar

News Feed