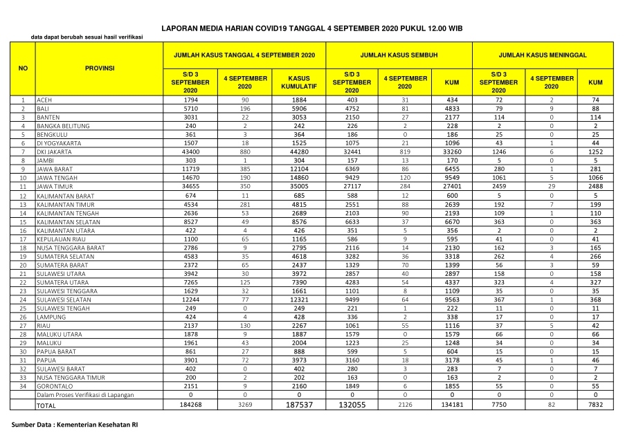
PEKANBARU – Kasus positif virus Corona (Covid-19) di Indonesia hari ini, Jumat (4/9/2020), bertambah 3.269 orang, dengan demikian total menjadi 187.537 orang.
Khusus Provinsi Riau, kasus positif Corona hari ini bertambah 130 orang, dengan demikian total menjadi 2.267 orang.
Yang menggembirakan, dari data yang diterima Satgas Penanganan Covid-19, pasien positif Covid-19 yang sembuh hari ini total sebanyak 134.181 orang.
Di sisi lain, kasus kematian Corona per hari ini untuk seluruh Indonesia total mencapai 7.832 orang. Khusus Riau, pasien Covid-19 meninggal 5 orang, dengan demikian total menjadi 42 orang.
Sementara berdasarkan data di atas, pasien Covid-19 di Riau yang sembuh hari ini berjumlah 55 orang. Dengan demikian, total pasien Corona di Riau yang sembuh menjadi 1.116 orang.
Berikut sebaran kasus positif Corona di 34 Provinsi, Senin (24/8/2020):
Bali: 196 kasus
Banten: 22 kasus
Bangka Belitung: 2 kasus
Bengkulu: 3 kasus
DI Yogyakarta: 18 kasus
DKI Jakarta: 880 kasus
Jambi: 1 kasus
Jawa Barat: 385 kasus
Jawa Tengah: 190 kasus
Jawa Timur: 350 kasus
Kalimantan Barat: 11 kasus
Kalimantan Timur: 281 kasus
Kalimantan Tengah: 53 kasus
Kalimantan Selatan: 49 kasus
Kalimantan Utara: 4 kasus
Kepulauan Riau: 65 kasus
Nusa Tenggara Barat: 9 kasus
Sumatera Selatan: 35 kasus
Sumatera Barat: 65 kasus
Sulawesi Utara: 30 kasus
Sumatera Utara: 125 kasus
Sulawesi Tenggara: 32 kasus
Sulawesi Selatan: 77 kasus
Lampung: 4 kasus
Riau: 130 kasus
Maluku Utara: 9 kasus
Maluku: 43 kasus
Papua Barat: 27 kasus
Papua: 72 kasus
Nusa Tenggara Timur: 2 kasus
- Gorontalo: 9 kasus. (zon/riausatu.com)









Komentar