oleh

Bertahan di Bawah 100 Kasus Baru Corona di Riau 5 Februari, 107 Sembuh, 3 Meninggal

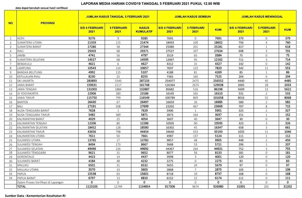
PEKANBARU – Kasus positif virus Corona (Covid-19) di Republik Indonesia (RI), Jumat   (5/2/2021), bertambah 11.749 orang. Dengan penambahan tersebut, total kasus positif virus Corona di Indonesia menjadi 1.134.854 kasus.

Sementara untuk Provinsi Riau, pasien positif Corona bertambah 68 orang. Dengan demikian, total pasien Covid-19 di Riau berjumlah 29.371 pandemi Covid-19 menyerang Indonesia.

Berdasarkan situs Kementerian Kesehatan RI, hari ini dilaporkan juga ada 9.674 pasien sembuh dari Corona. Dengan penambahan itu, maka pasien sembuh dari Corona di Indonesia menjadi 926.980 orang.

Baca Juga  Muzani: Prabowo Wakafkan Diri untuk Mengabdi kepada Rakyat, Bangsa, dan Negara

Khusus Provinsi Riau, pasien positif Covid-19 yang sembuh hari ini berjumlah 107 orang. Dengan demikian, total pasien sembuh di Negeri Lancang Kuning itu menjadi 27.634 orang.

Di sisi lain, pasien positif Corona yang meninggal dunia di Indonesia hari ini ada 201 orang. Dengan demikian, total pasien positif Covid-19 yang meninggal menjadi 31.202 orang.

Sementara pasien Covid-19 yang meninggal karena Corona di Provinsi Riau hari ini ada 3 orang, dengan demikian total sudah mencapai 701 orang.

Baca Juga  Aksi Spontan SMSI Banyuasin, Galang Dana Bantu Korban Banjir Bandang Lahat

Berikut sebaran 11.749 kasus baru Corona di Indonesia, Jumat (5/2/2021):

DKI Jakarta: 3.340 kasus

Jawa Barat: 2.117 kasus

Jawa Tengah: 1.884 kasus

Jawa Timur: 799 kasus

Kalimantan Timur: 798 kasus

Bali: 508 kasus

NTT: 389 kasus

DI Yogyakarta: 280 kasus

Sulawesi Selatan: 226 kasus

Sulawesi Tengah: 173 kasus

Kalimantan Selatan: 128 kasus

Sumatera Utara: 115 kasus

Bangka Belitung: 115 kasus

Baca Juga  Gawat! Kejati Riau Usut Dugaan Jual Beli Jabatan 50 Pjs Penghulu di Rohil

Lampung: 114 kasus

Kalimantan Tengah: 80 kasus

Riau: 68 kasus

Sumatera Selatan: 68 kasus

Banten: 67 kasus

Papua: 63 kasus

Sumatera Barat: 58 kasus

Jambi: 56 kasus

Kalimantan Utara: 50 kasus

Sulawesi Barat: 48 kasus

Maluku Utara: 33 kasus

Sulawesi Tenggara: 31 kasus

Maluku: 31 kasus

Kepulauan Riau: 25 kasus

Kalimantan Barat: 25 kasus

Sulawesi Utara: 17 kasus

Gorontalo: 14 kasus

Papua Barat: 13 kasus

Aceh: 9 kasus

Bengkulu: 6 kasus

NTB: 1 kasus. (zon/riausatu.com)

News Feed