oleh

Duh Naik Lagi! 298 Kasus Baru Corona Riau 5 Oktober, Meninggal 8

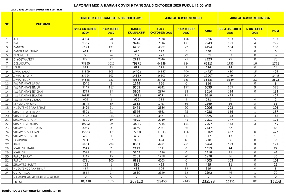
PEKANBARU – Kasus positif virus Corona (Covid-19) di Indonesia hari ini, Senin (5/10/2020), bertambah 3.622 orang. Dengan penambahan tersebut, total kasus positif virus Corona di Indonesia hari ini menjadi 307.120 orang.

Sementara untuk Provinsi Riau, pasien positif Corona bertambah 298 orang. Dengan demikian, total pasien Covid-19 di Riau berjumlah 8.701 orang sejak pandemi Covid-19 menyerang Indonesia.

Berdasarkan situs Kementerian Kesehatan RI, hari ini dilaporkan juga ada 4.140 pasien sembuh dari Corona. Dengan penambahan itu, maka pasien sembuh dari Corona di RI total berjumlah 232.593 orang.

Baca Juga  Update Corona di Riau 12 Maret: Tambah 58 Kasus Baru, 50 Sembuh, 4 Meninggal

Khusus Provinsi Riau, pasien positif Covid-19 yang sembuh hari ini berjumlah 283 orang. Dengan demikian, total pasien sembuh di Negeri Lancang Kuning itu menjadi 5.264 orang.

Di sisi lain, pasien positif Corona yang meninggal dunia di Indonesia hari ini ada 102 orang. Dengan demikian, total pasien positif Covid-19 yang meninggal menjadi 11.253 orang.

Sementara pasien Covid-19 yang meninggal karena Corona di Provinsi Riau hari ini ada 8 orang, dengan demikian total sudah mencapai 191 orang.

Baca Juga  Daging Berbahan Nabati Telah Hadir Di Indonesia

Berikut sebaran 3.622 kasus baru Corona di Indonesia, Senin (5/10/2020):

DKI Jakarta: 1.022 kasus

Jawa Barat: 503 kasus

Jawa Tengah: 365 kasus

Riau: 298 kasus

Jawa Timur: 237 kasus

Sumatera Barat: 216 kasus

Banten: 139 kasus

Kalimantan Timur: 117 kasus

Papua: 100 kasus

Sumatera Utara: 89 kasus

Bali: 83 kasus

Aceh: 70 kasus

Baca Juga  Polisi Imbau Agar Hewan Ternak di Lumajang Dipasangi GPS Antisipasi Pencurian

Kalimantan Selatan: 44 kasus

Kepulauan Riau: 39 kasus

Lampung: 37 kasus

Kalimantan Tengah: 28 kasus

Jambi: 25 kasus

Bengkulu: 24 kasus

Sumatera Selatan: 23 kasus

Gorontalo: 23 kasus

DI Yogyakarta: 22 kasus

Maluku: 22 kasus

Nusa Tenggara Barat: 21 kasus

Sulawesi Utara: 19 kasus

Sulawesi Selatan: 17 kasus

Papua Barat: 15 kasus

Bangka Belitung: 12 kasus

Sulawesi Tenggara: 3 kasus

Kalimantan Barat: 2 kasus

Kalimantan Utara: 2 kasus

Maluku Utara: 2 kasus

Sulawesi Tengah: 1 kasus

Sulawesi Barat: 1 kasus

Nusa Tenggara Timur: 1 kasus. (zon/riausatu.com)

News Feed