oleh

Update Corona Riau Hari Ini, Tambah 133 Kasus Meninggal 2 Orang

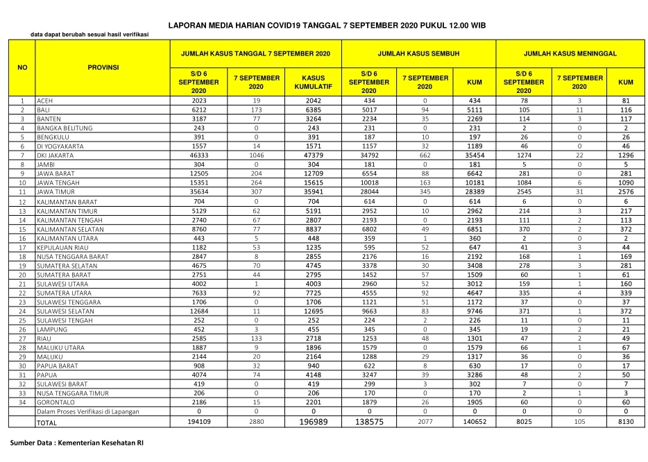
PEKANBARU – Kasus positif virus Corona (Covid-19) di Indonesia, per 7 September 2020, bertambah 2.880 orang. Dengan penambahan tersebut, total kasus positif virus Corona di Indonesia hari ini menjadi 196.989 orang.

Sementara untuk Provinsi Riau, pasien positif bertambah 133 orang. Dengan demikian, pasien Covid-19 di Riau berjumlah 2.718 sejak pandemi Covid-19 menyerang Indonesia.

Berdasarkan situs Kementerian Kesehatan RI, dilaporkan ada 2.077 pasien sembuh dari Corona. Dengan penambahan itu, maka pasien sembuh dari Corona di RI total berjumlah 140.652 orang.

Baca Juga  ASN Pemko Pekanbaru Diingatkan Jangan Mudik

Di sisi lain, pasien positif Corona yang meninggal dunia, Senin (7/9/2020), berjumlah 105 orang. Dengan demikian, total pasien positif Covid-19 yang meninggal menjadi 8.130 orang.

Untuk Provinsi Riau, pasien positif Covid-19 yang sembuh berjumlah 48 orang, total sembuh menjadi 1.301 orang.

Sementara pasien Covid-19 yang meninggal di Riau hari ini ada dua orang, dengan demikian total  meninggal menjadi 49 orang.

Baca Juga  Dugaan Korupsi di Mal Pelayanan Publik Pekanbaru, PETIR Minta Kejari Periksa Sekda M Jamil

Berikut sebaran 2.880 kasus baru Corona di Indonesia, Senin (7/9/2020):

Aceh: 19 kasus
Bali: 173 kasus
Banten: 77 kasus
DI Yogyakarta: 14 kasus
DKI Jakarta: 1.046 kasus
Jawa Barat: 204 kasus
Jawa Tengah: 264 kasus
Jawa Timur: 307 kasus
Kalimantan Timur: 62 kasus
Kalimantan Tengah: 67 kasus
Kalimantan Selatan: 77 kasus
Kalimantan Utara: 5 kasus
Kepulauan Riau: 53
Nusa Tenggara Barat: 8 kasus
Sumatera Selatan: 70 kasus
Sumatera Barat: 44 kasus
Sulawesi Utara: 1 kasus
Sumatera Utara: 92 kasus
Sulawesi Selatan: 11 kasus
Lampung: 3 kasus
Riau: 133 kasus
Maluku Utara: 9 kasus
Maluku: 20 kasus
Papua Barat: 32 kasus
Papua: 74 kasus
Gorontalo: 15 kasus. (zon/riausatu.com)

Komentar

News Feed