oleh

Update Corona di Riau 7 Oktober: Tambah 150 Kasus, Meninggal 2

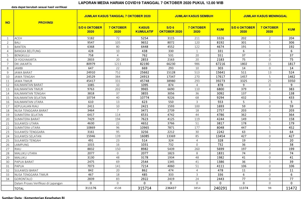
PEKANBARU – Kasus positif viru Corona (Covid-19) di Indonesia hari ini, Rabu  (7/10/2020), bertambah 4.538  orang. Dengan penambahan tersebut, total kasus positif virus Corona di Indonesia hari ini menjadi 315.714 orang.

Sementara untuk Provinsi Riau, pasien positif Corona bertambah 150 orang. Dengan demikian, total pasien Covid-19 di Riau berjumlah 8.982 orang sejak pandemi Covid-19 menyerang Indonesia.

Berdasarkan situs Kementerian Kesehatan RI, hari ini dilaporkan juga ada 3.854 pasien sembuh dari Corona. Dengan penambahan itu, maka pasien sembuh dari Corona di RI total berjumlah 240.291 orang.

Baca Juga  Update Corona di Riau 3 November: Tambah 8, Sembuh 17, Meninggal 1

Khusus Provinsi Riau, pasien positif Covid-19 yang sembuh hari ini berjumlah 260 orang. Dengan demikian, total pasien sembuh di Negeri Lancang Kuning itu menjadi 5.699 orang.

Di sisi lain, pasien positif Corona yang meninggal dunia di Indonesia hari ini ada 98 orang. Dengan demikian, total pasien positif Covid-19 yang meninggal menjadi 11.472 orang.

Sementara pasien Covid-19 yang meninggal karena Corona di Provinsi Riau hari ini ada 2 orang, dengan demikian total sudah mencapai 199 orang.

Baca Juga  Dinkes Kota Pekanbaru Terima Tambahan 2.970 Vial Vaksin Covid-19

Berikut sebaran 4.538 kasus baru Corona di Indonesia, Rabu  (7/10/2020):

DKI Jakarta: 1.211 kasus
Jawa Barat: 752 kasus
Jawa Tengah: 384 kasus
Jawa Timur: 331 kasus
Kalimantan Timur: 202 kasus
Sumatera Barat: 194 kasus
Riau: 150 kasus
Papua: 141 kasus
Sulawesi Selatan: 139 kasus
Sumatera Selatan: 114 kasus
Bali: 105 kasus
Sumatera Utara: 96 kasus
Sulawesi Tenggara: 95 kasus
Gorontalo: 83 kasus
Banten: 80 kasus
Aceh: 72 kasus
Papua Barat: 69 kasus
Maluku: 48 kasus
Kalimantan Selatan: 40 kasus
Kalimantan Tengah: 37 kasus
Sulawesi Tengah: 23 kasus
Jambi: 22 kasus
Sulawesi Utara: 22 kasus
DI Yogyakarta: 20 kasus
Sulawesi Barat: 20 kasus
Nusa Tenggara Timur: 18 kasus
Lampung: 16 kasus
Kalimantan Utara: 13 kasus
Bangka Belitung: 10 kasus
Kalimantan Barat: 10 kasus
Kepulauan Riau: 10 kasus
Nusa Tenggara Barat: 7 kasus
Bengkulu: 4 kasus. (zon/riausatu.com)

News Feed