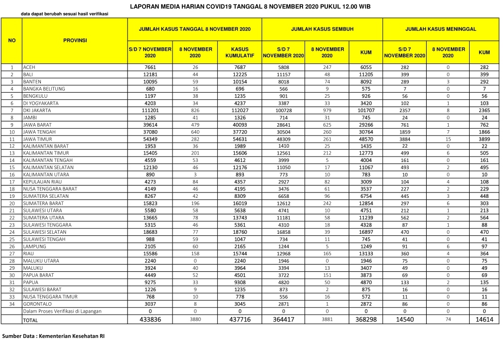
PEKANBARU – Kasus positif virus Corona (Covid-19) di Indonesia hari ini, Ahad (8/11/2020), bertambah 3.880 orang. Dengan penambahan tersebut, total kasus positif virus Corona di Indonesia menjadi 437.716 orang.
Sementara untuk Provinsi Riau, pasien positif Corona bertambah 158 orang. Dengan demikian, total pasien Covid-19 di Riau berjumlah 15.744 orang sejak pandemi Covid-19 menyerang Indonesia.
Berdasarkan situs Kementerian Kesehatan RI, hari ini dilaporkan juga ada 3.881 pasien sembuh dari Corona. Dengan penambahan itu, maka pasien sembuh dari Corona di RI total berjumlah 368.298 orang.
Khusus Provinsi Riau, pasien positif Covid-19 yang sembuh hari ini berjumlah 165 orang. Dengan demikian, total pasien sembuh di Negeri Lancang Kuning itu menjadi 13.133 orang.
Di sisi lain, pasien positif Corona yang meninggal dunia di Indonesia hari ini ada 74 orang. Dengan demikian, total pasien positif Covid-19 yang meninggal menjadi 14.614 orang.
Sementara pasien Covid-19 yang meninggal karena Corona di Provinsi Riau hari ini ada 4 orang, dengan demikian total sudah mencapai 364 orang.
Berikut sebaran 3.880 kasus baru Corona di Indonesia, Ahad (8/11/2020):
DKI Jakarta: 826
Jawa Tengah: 640
Jawa Barat: 479
Jawa Timur: 282
Kalimantan Timur: 201
Sumatera barat: 196
Riau: 158
Kepulauan Riau: 84
Sumatera Utara: 78
Sulawesi Selatan: 77
Lampung: 60
Banten: 59
Sulawesi Tengah: 59
Sulawesi Utara: 58
Kalimantan Tengah: 53
Papua Barat: 52
Kalimantan Selatan: 46
Nusa Tenggara Barat: 46
Sulawesi Tenggara: 46
Bali: 44
Sumatera Selatan: 42
Jambi: 41
Maluku: 40
Bengkulu: 38
Kalimantan Barat: 36
DI Yogyakarta: 34
Papua: 33
Aceh: 26
Bangka Belitung: 16
Nusa Tenggara Timur: 10
Sulawesi Barat: 9
Gorontalo: 8
Kalimantan Utara: 3. (zon/riausatu.com)








