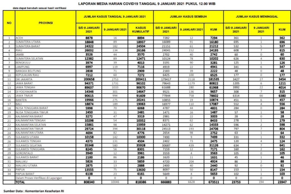
PEKANBARU – Kasus positif virus Corona (Covid-19) di Republik Indonesia (RI), Sabtu (9/1/2021), bertambah 10.046 orang. Dengan penambahan tersebut, total kasus positif virus Corona di Indonesia menjadi 818.386 kasus.
Sementara untuk Provinsi Riau, pasien positif Corona bertambah 134 orang. Dengan demikian, total pasien Covid-19 di Riau berjumlah 26.166 orang sejak pandemi Covid-19 menyerang Indonesia.
Berdasarkan situs Kementerian Kesehatan RI, hari ini dilaporkan juga ada 6.628 pasien sembuh dari Corona. Dengan penambahan itu, maka pasien sembuh dari Corona di Indonesia menjadi 673.511 orang.
Khusus Provinsi Riau, pasien positif Covid-19 yang sembuh hari ini berjumlah 152 orang. Dengan demikian, total pasien sembuh di Negeri Lancang Kuning itu menjadi 24.193 orang.
Di sisi lain, pasien positif Corona yang meninggal dunia di Indonesia hari ini ada 194 orang. Dengan demikian, total pasien positif Covid-19 yang meninggal menjadi
23.947 orang.
Sementara pasien Covid-19 yang meninggal karena Corona di Provinsi Riau hari ini ada 7 orang, dengan demikian total sudah mencapai 615 orang.
Berikut sebaran 10.046 kasus baru Corona di Indonesia, Sabtu (9/1/2021):
DKI Jakarta: 2.753 kasus
Jawa Barat: 1.731 kasus
Jawa Tengah: 1.033 kasus
Jawa Timur: 994 kasus
Sulawesi Selatan: 580 kasus
Kalimantan Timur: 394 kasus
DI Yogyakarta: 301 kasus
Banten: 275 kasus
Bali: 189 kasus
Sumatera Barat: 182 kasus
Sulawesi Utara: 142 kasus
Riau: 134 kasus
Sulawesi Tengah: 131 kasus
Lampung: 119 kasus
Kalimantan Selatan: 98 kasus
Sumatera Utara: 89 kasus
Sumatera Selatan: 89 kasus
Sulawesi Barat: 86 kasus
Kalimantan Utara: 82 kasus
Papua: 75 kasus
Bangka Belitung: 71 kasus
Nusa Tenggara Barat: 70 kasus
Kepulauan Riau: 60 kasus
Sulawesi Tenggara: 56 kasus
Kalimantan Tengah: 54 kasus
Kalimantan Barat: 47 kasus
Jambi: 44 kasus
Bengkulu: 39 kasus
Maluku: 33 kasus
Nusa Tenggara Timur: 31 kasus
Papua Barat: 23 kasus
Aceh: 16 kasus
Maluku Utara: 13 kasus
Gorontalo: 12 kasus. (zon/riausatu.com)










