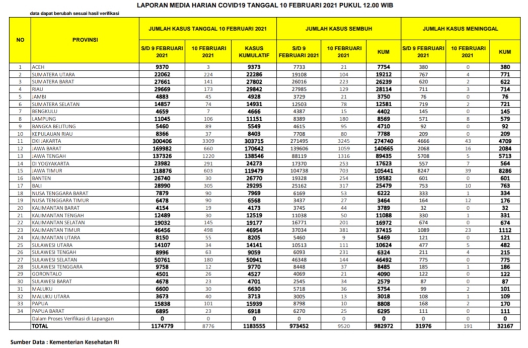
PEKANBARU – Kasus positif virus Corona (Covid-19) di Republik Indonesia (RI), Rabu (10/2/2021), bertambah 8.776 orang. Dengan penambahan tersebut, total kasus positif virus Corona di Indonesia menjadi 1.183.555 kasus.
Sementara untuk Provinsi Riau, pasien positif Corona bertambah 173 orang. Dengan demikian, total pasien Covid-19 di Riau berjumlah 29.842 pandemi Covid-19 menyerang Indonesia.
Berdasarkan situs Kementerian Kesehatan RI, hari ini dilaporkan juga ada 9.520 pasien sembuh dari Corona. Dengan penambahan itu, maka pasien sembuh dari Corona di Indonesia menjadi 982.972 orang.
Khusus Provinsi Riau, pasien positif Covid-19 yang sembuh hari ini berjumlah
129 orang. Dengan demikian, total pasien sembuh di Negeri Lancang Kuning itu menjadi 28.114 orang.
Di sisi lain, pasien positif Corona yang meninggal dunia di Indonesia hari ini ada 191 orang. Dengan demikian, total pasien positif Covid-19 yang meninggal menjadi 32.167 orang.
Sementara pasien Covid-19 yang meninggal karena Corona di Provinsi Riau hari ini ada 3 orang, dengan demikian total sudah mencapai 714 orang.
Berikut sebaran 8.776 kasus baru Corona di Indonesia, Rabu (10/2/2021):
DKI Jakarta: 3.309 kasus
Jawa Tengah: 1.220 kasus
Jawa Barat: 660 kasus
Jawa Timur: 603 kasus
Kalimantan Timur: 498 kasus
Bali: 305 kasus
DI Yogyakarta: 291 kasus
Sumatera Utara: 224 kasus
Sulawesi Selatan: 180 kasus
Riau: 173 kasus
Kalimantan Selatan: 145 kasus
Sumatera Barat: 141 kasus
Lampung: 106 kasus
Papua: 101 kasus
NTB: 90 kasus
NTT: 90 kasus
Bangka Belitung: 89 kasus
Sumatera Selatan: 74 kasus
Sulawesi Tengah: 63 kasus
Kalimantan Utara: 55 kasus
Jambi: 45 kasus
Maluku Utara: 40 kasus
Kepulauan Riau: 37 kasus
Sulawesi Utara: 34 kasus
Banten: 30 kasus
Kalimantan Tengah: 30 kasus
Maluku: 30 kasus
Gorontalo: 26 kasus
Sulawesi Barat: 23 kasus
Papua Barat: 23 kasus
Kalimantan Barat: 19 kasus
Sulawesi Tenggara: 12 kasus
Bengkulu: 7 kasus
Aceh: 3 kasus. (zon/riausatu.com)










