oleh

Update Corona Riau 11 Januari: Kasus Baru Tambah 88, Sembuh 98 Orang

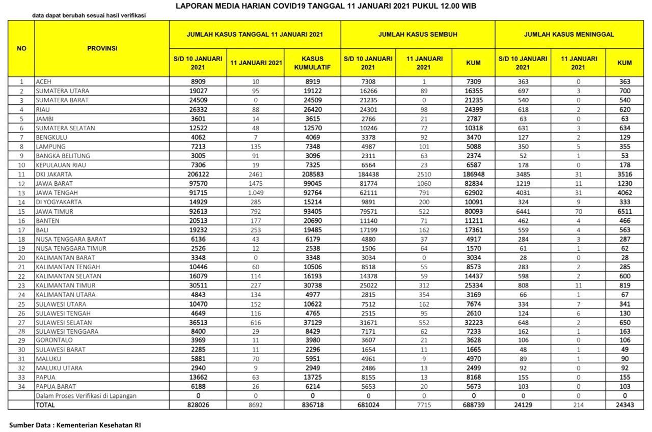
PEKANBARU – Kasus positif virus Corona (Covid-19) di Republik Indonesia (RI), Senin (11/1/2021), bertambah 8.692 orang. Dengan penambahan tersebut, total kasus positif virus Corona di Indonesia menjadi 836.718 kasus.

Sementara untuk Provinsi Riau, pasien positif Corona bertambah 88 orang. Dengan demikian, total pasien Covid-19 di Riau berjumlah 26.420 orang sejak pandemi Covid-19 menyerang Indonesia.

Berdasarkan situs Kementerian Kesehatan RI, hari ini dilaporkan juga ada 7.715 pasien sembuh dari Corona. Dengan penambahan itu, maka pasien sembuh dari Corona di Indonesia  menjadi 688.739 orang.

Khusus Provinsi Riau, pasien positif Covid-19 yang sembuh hari ini berjumlah 98 orang. Dengan demikian, total pasien sembuh di Negeri Lancang Kuning itu menjadi 24.399 orang.

Baca Juga  Kembali Turun Kasus Corona di Riau 15 Februari, 51 Sembuh, 2 Meninggal

Di sisi lain, pasien positif Corona yang meninggal dunia di Indonesia hari ini ada 214 orang. Dengan demikian, total pasien positif Covid-19 yang meninggal menjadi
24.343 orang.

Sementara pasien Covid-19 yang meninggal karena Corona di Provinsi Riau hari ini ada 2 orang, dengan demikian total sudah mencapai 620 orang. (zon/riausatu.com)

News Feed