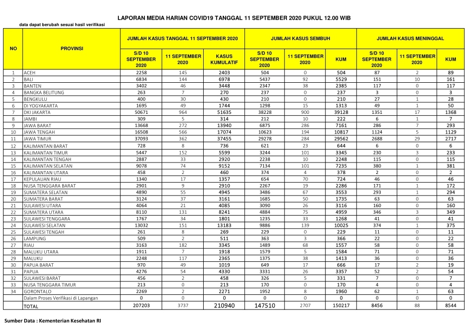
PEKANBARU – Kasus positif virus Corona (Covid-19) di Indonesia hari ini, Jumat (11/9/2020), bertambah 3.737 orang. Dengan penambahan tersebut, total kasus positif virus Corona di Indonesia hari ini menjadi 210.940 orang.
Sementara untuk Provinsi Riau, pasien positif Corona bertambah 138 orang. Dengan demikian, total pasien Covid-19 di Riau berjumlah 3.345 orang sejak pandemi Covid-19 menyerang Indonesia.
Berdasarkan situs Kementerian Kesehatan RI, hari ini dilaporkan juga ada 2.707 pasien sembuh dari Corona. Dengan penambahan itu, maka pasien sembuh dari Corona di RI total berjumlah 150.217 orang.
Khusus Provinsi Riau, pasien positif Covid-19 yang sembuh hari ini berjumlah 68 orang. Dengan demikian, total pasien sembuh di Negeri Lancang Kuning itu menjadi 1.557 orang.
Di sisi lain, pasien positif Corona yang meninggal dunia di Indonesia hari ini berjumlah 88 orang. Dengan demikian, total pasien positif Covid-19 yang meninggal menjadi 8.544 orang.
Alhamdulillah, hari ini tidak ada pasien Covid-19 yang meninggal di Provinsi Riau. Dengan demikian, total pasien Corona yang meninggal masih tetap 58 orang.
Berikut sebaran 3.737 kasus baru Corona di Indonesia, Jumat (11/9/2020):
DKI Jakarta: 964 kasus
Jawa Tengah: 566 kasus
Jawa Timur: 362 kasus
Jawa Barat: 272 kasus
Riau: 182 kasus
Kalimantan Timur: 152 kasus
Sulawesi Selatan: 151 kasus
Aceh: 145 kasus
Bali: 144 kasus
Sumatera Utara: 131 kasus
Maluku: 117 kasus
Kalimantan Selatan: 74 kasus
Sumatera Selatan: 55 kasus
Papua: 54 kasus
DI Yogyakarta: 49 kasus
Papua Barat: 49 kasus
Banten: 46 kasus
Sumatera Barat: 37 kasus
Sulawesi Tenggara: 34 kasus
Kalimantan Tengah: 33 kasus
Bengkulu: 30 kasus
Sulawesi Utara: 21 kasus
Kepulauan Riau: 17 kasus
Nusa Tenggara Barat: 9 kasus
Kalimantan Barat: 8 kasus
Sulawesi Tengah: 8 kasus
Bangka Belitung: 7 kasus
Maluku Utara: 7 kasus
Jambi: 5 kasus
Kalimantan Utara: 2 kasus
Lampung: 2 kasus
Sulawesi Barat: 2 kasus
Gorontalo: 2 kasus. (zon/riausatu.com)









Komentar