oleh

Update Corona Riau 11 Oktober: 9.971 Positif, 6.107 Sembuh, 223 Meninggal

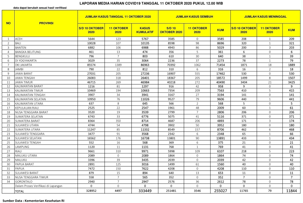
PEKANBARU – Kasus positif virus Corona (Covid-19) di Indonesia hari ini, Ahad  (11/10/2020), bertambah 4.497 orang. Dengan penambahan tersebut, total kasus positif virus Corona di Indonesia hari ini menjadi 333.449 orang.

Sementara untuk Provinsi Riau, pasien positif Corona bertambah 310 orang. Dengan demikian, total pasien Covid-19 di Riau berjumlah 9.971 orang sejak pandemi Covid-19 menyerang Indonesia.

Berdasarkan situs Kementerian Kesehatan RI, hari ini dilaporkan juga ada 3.546 pasien sembuh dari Corona. Dengan penambahan itu, maka pasien sembuh dari Corona di RI total berjumlah 255.027 orang.

Baca Juga  Stigma Kepada Anak Korban Terorisme

Khusus Provinsi Riau, pasien positif Covid-19 yang sembuh hari ini berjumlah 109 orang. Dengan demikian, total pasien sembuh di Negeri Lancang Kuning itu menjadi 6.107 orang.

Di sisi lain, pasien positif Corona yang meninggal dunia di Indonesia hari ini ada 79 orang. Dengan demikian, total pasien positif Covid-19 yang meninggal menjadi 11.844 orang.

Sementara pasien Covid-19 yang meninggal karena Corona di Provinsi Riau hari ini ada 5 orang, dengan demikian total sudah mencapai 223 orang.

Baca Juga  Pemkot Jambi Siapkan 9.700 Sembako Murah

Berikut sebaran 4.497 kasus baru Corona di Indonesia, Ahad (11/10/2020):

DKI Jakarta: 1.389 kasus

Sumatera Barat: 350 kasus

Jawa Tengah: 318 kasus

Riau: 310 kasus

Jawa Timur: 269 kasus

Jawa Barat: 205 kasus

Kalimantan Timur: 194 kasus

Sulawesi Selatan: 176 kasus

Papua: 150 kasus

Papua Barat: 125 kasus

Aceh: 123 kasus

Bali: 107 kasus

Banten: 106 kasus

Baca Juga  Update Corona di Riau 6 Oktober: Tambah 131 Kasus, Meninggal 6

Sulawesi Tenggara: 91 kasus

Sumatera Utara: 85 kasus

Kalimantan Barat: 81 kasus

Kalimantan Selatan: 76 kasus

Sulawesi Utara: 54 kasus

Maluku: 39 kasus

DI Yogyakarta: 35 kasus

Kalimantang Tengah: 34 kasus

Sumatera Selatan: 33 kasus

Jambi: 22 kasus

Kepulauan Riau: 22 kasus

NTB: 19 kasus

Sulawesi Tengah: 16 kasus

Sulawesi Barat: 15 kasus

Bangka Belitung: 13 kasus

Lampung: 11 kasus

Kalimantan Utara: 8 kasus

Bengkulu: 7 kasus

NTT: 7 kasus

Gorontalo: 7 kasus.

(zon/riausatu.com)

News Feed