oleh

Update Corona di Riau 12 Februari: Tambah 96 Kasus Baru, 92 Sembuh, 3 Meninggal

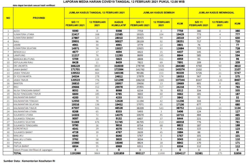
PEKANBARU – Kasus positif virus Corona (Covid-19) di Republik Indonesia (RI), Jumat (12/2/2021), bertambah 9.869 orang. Dengan penambahan tersebut, total kasus positif virus Corona di Indonesia menjadi 1.201.859 kasus.

Sementara untuk Provinsi Riau, pasien positif Corona bertambah 96 orang. Dengan demikian, total pasien Covid-19 di Riau berjumlah 30.027 pandemi Covid-19 menyerang Indonesia.

Berdasarkan situs Kementerian Kesehatan RI, hari ini dilaporkan juga ada 11.000 pasien sembuh dari Corona. Dengan penambahan itu, maka pasien sembuh dari Corona di Indonesia menjadi 1.004.117 orang.

Baca Juga  Diduga Bunuh Janda, Oknum Perwira Polres Pelalawan Riau Jadi Tersangka

Khusus Provinsi Riau, pasien positif Covid-19 yang sembuh hari ini berjumlah 92 orang. Dengan demikian, total pasien sembuh di Negeri Lancang Kuning itu menjadi 28.251 orang.

Di sisi lain, pasien positif Corona yang meninggal dunia di Indonesia hari ini ada 275 orang. Dengan demikian, total pasien positif Covid-19 yang meninggal menjadi 32.656 orang.

Sementara pasien Covid-19 yang meninggal karena Corona di Provinsi Riau hari ini ada 3 orang, dengan demikian total sudah mencapai 720 orang.

Baca Juga  Horeee! Kasus Corona RI dan Riau 21 Oktober Turun, Ini Sebaran Lengkapnya

Berikut sebaran 9.869 kasus baru Corona di Indonesia, Jumat (12/2/2021):

DKI Jakarta: 3.810 kasus

Kalimantan Timur: 931 kasus

Jawa Timur: 776 kasus

Jawa Barat: 683 kasus

Sulawesi Selatan: 676 kasus

Jawa Tengah: 664 kasus

Bali: 312 kasus

DI Yogyakarta: 278 kasus

Nusa Tenggara Timur: 185 kasus

Sumatera Utara: 168 kasus

Banten: 147 kasus

Kalimantan Selatan: 136 kasus

Sumatera Barat: 123 kasus

Bangka Belitung: 114 kasus

Baca Juga  Riau-Sumbar Peringkat 4 dan 5, Ini Sebaran 4.871 Kasus Baru Corona RI pada 19 Mei

Riau: 96 kasus

Kalimantan Tengah: 78 kasus

Lampung: 76 kasus

Sulawesi Utara: 72 kasus

Papua: 66 kasus

Kalimantan Utara: 65 kasus

Maluku Utara: 58 kasus

Sumatera Selatan: 56 kasus

Sulawesi Barat: 39 kasus

Nusa Tenggara Barat: 36 kasus

Sulawesi Tengah: 35 kasus

Papua Barat: 35 kasus

Kalimantan Barat: 33 kasus

Jambi: 30 kasus

Gorontalo: 29 kasus

Sulawesi Tenggara: 26 kasus

Bengkulu: 17 kasus

Kepulauan Riau: 11 kasus

Aceh: 8 kasus. (zon/riausatu.com)

News Feed