oleh

Lagi-lagi Cetak Rekor! Riau Catat 224 Kasus Baru Corona Hari Ini, Meninggal 4

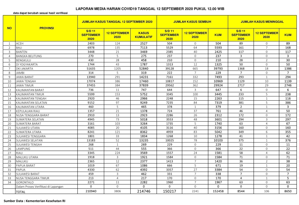
PEKANBARU – Kasus positif virus Corona (Covid-19) di Indonesia hari ini, Sabtu (12/9/2020), bertambah 3.806 orang. Dengan penambahan tersebut, total kasus positif virus Corona di Indonesia hari ini menjadi 214.746 orang.

Sementara untuk Provinsi Riau, pasien positif bertambah 224 orang. Dengan demikian, pasien Covid-19 di Riau berjumlah 3.569 orang sejak pandemi Covid-19 menyerang Indonesia.

Buat Provinsi Riau ini merupakan rekor baru karena rekor penambahan pasien positif Covid-19 sebelumnya berjumlah 194 orang, pada Kamis (10/9/2020) lalu.

Baca Juga  Riau Turun Sumbar Naik, Berikut Sebaran 5.280 Kasus Baru Corona RI pada 23 Mei

Berdasarkan situs Kementerian Kesehatan RI, har ini dilaporkan ada 2.241 pasien sembuh dari Corona. Dengan penambahan itu, maka pasien dinyatakan sembuh dari Corona di RI total berjumlah 152.458 orang.

Di sisi lain, pasien positif Corona yang meninggal dunia, Sabtu (12/9/2020), berjumlah 106 orang. Dengan demikian, total pasien positif Covid-19 yang meninggal menjadi 8.650 orang.

Khusus Provinsi Riau, pasien sembuh hari ini berjumlah 24 orang, dengan demikian total pasien sembuh menjadi 1.581 orang.

Sementara pasien Covid-19 yang meninggal karena Corona di Provinsi Riau hari ini ada 4 orang, dengan demikian total sudah mencapai 62 orang.

Baca Juga  Aset Rangka Besi Bando Akan Dilelang

Berikut sebaran 3.806 kasus baru Corona di Indonesia, Sabtu  (12/9/2020):

DKI Jakarta: 1.205 kasus

Jawa Tengah: 386 kasus

Jawa Timur: 384 kasus

Jawa Barat: 291 kasus

Riau: 224 kasus

Kalimantan Timur: 153 kasus

Bali : 135 kasus

Aceh : 124 kasus

Sumatera Utara : 121 kasus

Sumatera Barat : 103 kasus

Kalimantan Selatan : 97 kasus

Sumatera Selatan : 73 kasus

Papua Barat : 67 kasus

Baca Juga  Berikut Sebaran 4.607 Kasus Positif Corona RI 13 Maret; Riau Tambah 66, 107 Sembuh

Papua : 62 kasus

Sulawesi Selatan : 52 kasus

Kalimantan Tengah : 46 kasus

Lampung : 44 kasus

DI Yogyakarta : 43 kasus

Sulawesi Tenggara : 33 kasus

Bengkulu : 28 kasus

Banten : 21 kasus

Kepulauan Riau : 21 kasus

Sulawesi Utara : 20 kasus

Nusa Tenggara Barat : 13 kasus

Maluku : 12 kasus

Kalimantan Barat : 11 kasus

Gorontalo : 11 kasus

Bangka Belitung : 5 kasus

Jambi : 5 kasus

Kalimantan Utara : 5 kasus

Nusa Tenggara Timur : 4 kasus

Maluku Utara : 3 kasus

Sulawesi Barat : 3 kasus

Sulawesi Tengah : 1 kasus.  (zon/riausatu.com)

Komentar

News Feed