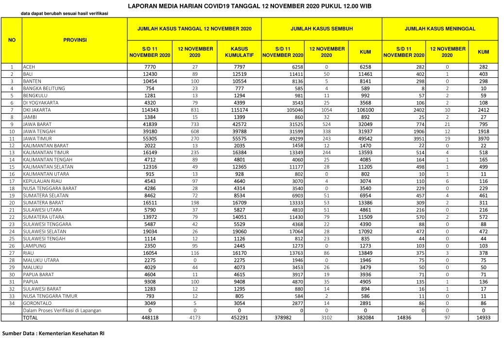
PEKANBARU – Kasus positif virus Corona (Covid-19) di Indonesia hari ini, Kamis (12/11/2020), bertambah 4.713 orang. Dengan penambahan tersebut, total kasus positif virus Corona di Indonesia menjadi 452.291 orang.
Sementara untuk Provinsi Riau, pasien positif Corona bertambah 116 orang. Dengan demikian, total pasien Covid-19 di Riau berjumlah 16.170 orang sejak pandemi Covid-19 menyerang Indonesia.
Berdasarkan situs Kementerian Kesehatan RI, hari ini dilaporkan juga ada 3.102 pasien sembuh dari Corona. Dengan penambahan itu, maka pasien sembuh dari Corona di RI total berjumlah 382.084 orang.
Khusus Provinsi Riau, pasien positif Covid-19 yang sembuh hari ini dilaporkan 86 orang. Dengan demikian, total pasien sembuh di Negeri Lancang Kuning menjadi 13.849 orang.
Di sisi lain, pasien positif Corona yang meninggal dunia di Indonesia hari ini ada 97 orang. Dengan demikian, total pasien positif Covid-19 yang meninggal menjadi 14.933 orang.
Sementara pasien Covid-19 yang meninggal karena Corona di Provinsi Riau hari ini dilaporkan ada 3 orang, dengan demikian total berjumlah 378 orang. (zon/riausatu.com)








