oleh

212! Itu Angka Kasus Corona Riau Hari Ini, Meninggal 8

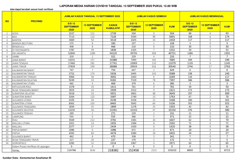
PEKANBARU – Kasus positif virus Corona (Covid-19) di Indonesia hari ini, Ahad (13/9/2020), bertambah 3.636 orang. Dengan penambahan tersebut, total kasus positif virus Corona di Indonesia hari ini menjadi 218.382 orang.

Sementara untuk Provinsi Riau, pasien positif Corona bertambah 212 orang. Dengan demikian, total pasien Covid-19 di Riau berjumlah 3.781 orang sejak pandemi Covid-19 menyerang Indonesia.

Berdasarkan situs Kementerian Kesehatan RI, hari ini dilaporkan juga ada 2.552 pasien sembuh dari Corona. Dengan penambahan itu, maka pasien sembuh dari Corona di RI total berjumlah 155.010 orang.

Baca Juga  Puluhan SPV di Balik Armada Pertamina, CERI Desak Kejagung Usut

Khusus Provinsi Riau, pasien positif Covid-19 yang sembuh hari ini berjumlah 26 orang. Dengan demikian, total pasien sembuh di Negeri Lancang Kuning itu menjadi 1.607 orang.

Di sisi lain, pasien positif Corona yang meninggal dunia di Indonesia hari ini berjumlah 73 orang. Dengan demikian, total pasien positif Covid-19 yang meninggal menjadi 8.723 orang.

Sementara pasien Covid-19 yang meninggal karena Corona di Provinsi Riau hari ini ada 8 orang, dengan demikian total sudah mencapai 70 orang.

Baca Juga  Update Corona di Riau 29 September: Tambah 61, Sembuh 77, Meninggal 4

Berikut sebaran 3.636 kasus baru Corona di Indonesia, Ahad (13/9/2020):

DKI Jakarta: 1.380 kasus

Jawa Tengah: 282 kasus

Jawa Timur: 249 kasus

Aceh: 212 kasus

Riau: 212 kasus

Kalimantan Timur: 174 kasus

Jawa Barat: 157 kasus

Sumatera Barat: 123 kasus

Bali: 113 kasus

Sumatera Utara: 103 kasus

Baca Juga  Terus Naik! Ini Sebaran 8.892 Kasus Baru Corona RI pada 10 Juni, Riau Tambah 438

Papua: 84 kasus

Maluku: 57 kasus

Sulawesi Selatan: 56 kasus

Banten: 50 kasus

DI Yogyakarta: 49 kasus

Sulawesi Utara:44 kasus

Kalimantan Tengah: 36 kasus

Sulawesi Tenggara: 35 kasus

Kalimantan Selatan: 33 kasus

Kepulauan Riau: 33 kasus

Sumatera Selatan: 33 kasus

Gorontalo: 32 kasus

Nusa Tenggara Timur: 20 kasus

Nusa Tenggara Barat: 16 kasus

Maluku Utara: 14 kasus

Bangka Belitung: 8 kasus

Bengkulu: 8 kasus

Sulawesi Barat: 8 kasus

Kalimantahn Barat: 7 kasus

Kalimantan Utara: 4 kasus

Jambi: 2 kasus

Sulawesi Tengah: 2 kasus. (zon/riausatu.com)

Komentar

News Feed