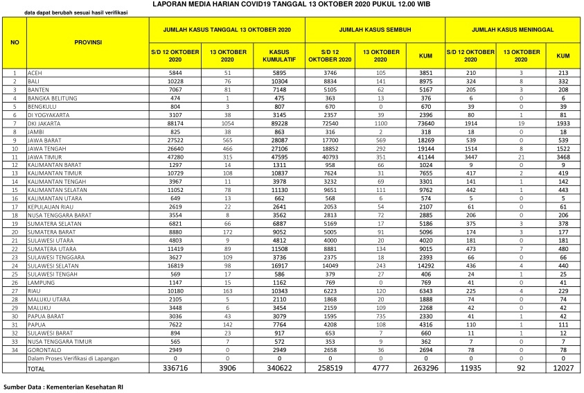
PEKANBARU – Kasus positif virus Corona (Covid-19) di Indonesia hari ini, Selasa (13/10/2020), bertambah 3.946 orang. Dengan penambahan tersebut, total kasus positif virus Corona di Indonesia hari ini menjadi 340.662 orang.
Sementara untuk Provinsi Riau, pasien positif Corona bertambah 163 orang. Dengan demikian, total pasien Covid-19 di Riau berjumlah 10.343 orang sejak pandemi Covid-19 menyerang Indonesia.
Berdasarkan situs Kementerian Kesehatan RI, hari ini dilaporkan juga ada 4.777 pasien sembuh dari Corona. Dengan penambahan itu, maka pasien sembuh dari Corona di RI total berjumlah 263.296 orang.
Khusus Provinsi Riau, pasien positif Covid-19 yang sembuh hari ini berjumlah 120 orang. Dengan demikian, total pasien sembuh di Negeri Lancang Kuning itu menjadi 6.343 orang.
Di sisi lain, pasien positif Corona yang meninggal dunia di Indonesia hari ini ada 92 orang. Dengan demikian, total pasien positif Covid-19 yang meninggal menjadi 12.027 orang.
Sementara pasien Covid-19 yang meninggal karena Corona di Provinsi Riau hari ini ada 4 orang, dengan demikian total sudah mencapai 229 orang.
Berikut sebaran 3.946 kasus baru Corona di Indonesia, Selasa (13/10/2020)
DKI Jakarta: 1.054 kasus
Jawa Barat: 565 kasus
Jawa Tengah: 466 kasus
Jawa Timur: 315 kasus
Sumatera Barat: 172 kasus
Riau: 163 kasus
Papua: 142 kasus
Sulawesi Tenggara: 109 kasus
Kalimantan Timur: 108 kasus
Sulawesi Selatan: 98 kasus
Sumatera Utara: 89 kasus
Banten: 81 kasus
Kalimantan Selatan: 78 kasus
Bali: 76 kasus
Sumatera Selatan: 66 kasus
Aceh: 51 kasus
Papua Barat: 43 kasus
Di Yogyakarta: 38 kasus
Jambi: 38 kasus
Sulawesi Barat: 23 kasus
Kepulauan Riau: 22 kasus
Sulawesi Tengah: 17 kasus
Lampung: 15 kasus
Kalimantan Barat: 14 kasus
Kalimantan Utara: 13 kasus
Kalimantan Tengah: 11 kasus
Sulawesi Utara: 9 kasus
Nusa Tenggara Barat: 8 kasus
Nusa Tenggara Timur: 7 kasus
Maluku: 6 kasus
Maluku Utara: 5 kasus
Bengkulu: 3 kasus. (zon/riausatu.com)








