oleh

Hari Valentine: Kasus Baru Corona di Riau Tambah 67, 86 Sembuh, 1 Meninggal

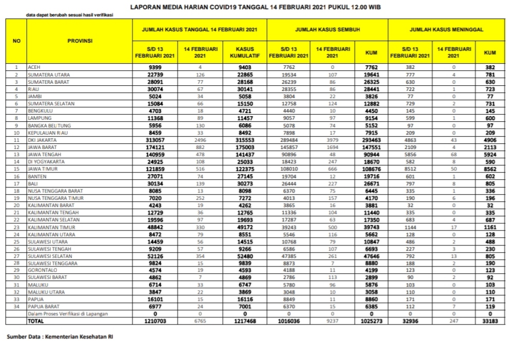
PEKANBARU – Kasus positif virus Corona (Covid-19) di Republik Indonesia (RI), Ahad  (14/2/2021), bertambah 6.765 orang. Dengan penambahan tersebut, total kasus positif virus Corona di Indonesia menjadi
1.217.468 kasus.

Sementara untuk Provinsi Riau, pasien positif Corona bertambah 67 orang. Dengan demikian, total pasien Covid-19 di Riau berjumlah 30.141 pandemi Covid-19 menyerang Indonesia.

Berdasarkan situs Kementerian Kesehatan RI, hari ini dilaporkan juga ada 9.237 pasien sembuh dari Corona. Dengan penambahan itu, maka pasien sembuh dari Corona di Indonesia menjadi 1.025.273 orang.

Baca Juga  Bahaya! Riau Tembus 2 Ribu, Ini Sebaran 43.479 Kasus Baru Corona di RI 29 Juli

Khusus Provinsi Riau, pasien positif Covid-19 yang sembuh hari ini berjumlah 86 orang. Dengan demikian, total pasien sembuh di Negeri Lancang Kuning itu menjadi 28.441 orang.

Di sisi lain, pasien positif Corona yang meninggal dunia di Indonesia hari ini ada 247 orang. Dengan demikian, total pasien positif Covid-19 yang meninggal menjadi 33.183 orang.

Sementara pasien Covid-19 yang meninggal karena Corona di Provinsi Riau hari ini ada 1 orang, dengan demikian total sudah mencapai 723 orang.

Baca Juga  Karut Marut TTM Chevron di Blok Rokan, CERI Kirim Surat Terbuka ke Menko Luhut

Berikut sebaran 6.765 kasus baru Corona di Indonesia, Ahad (14/2/2021):

DKI: 2.496 kasus
Jawa Barat: 882 kasus
Jawa Timur: 516 kasus
Jawa Tengah: 478 kasus
Sulawesi Selatan: 354 kasus
Kalimantan Timur: kasus 330
NTT: 252 kasus
Bali: 139 kasus
Bangka Belitung: 130 kasus
Sumatera Utara: 126 kasus
DIY: 108 kasus
Kalimantan Selatan: 97 kasus
Lampung: 89 kasus
Kalimantan Utara: 79 kasus
Sumatera Barat: 77 kasus
Banten: 74 kasus
Riau: 67 kasus
Sumatera Selatan: kasus 66
Sulawesi Tengah: 57 kasus
Sulawesi Utara: 56 kasus
Kalimantan Tengah: 36 kasus
Jambi: 34 kasus
Kepulauan Riau: 33 kasus
Maluku: 33 kasus
Papua Barat: 24 kasus
Maluku Utara: 22 kasus
Kalimantan Barat: 19 kasus
Gorontalo: 19 kasus
Bengkulu: 18 kasus
Sulawesi Tenggara: 15 kasus
Papua: 15 kasus
NTB: 13 kasus
Sulawesi Barat: 7 kasus
Aceh 4 kasus. (zon/riausatu.com)

News Feed