oleh

Ampun! Kasus Corona Riau 14 Oktober Tambah 300, 145 Sembuh, 12 Meninggal

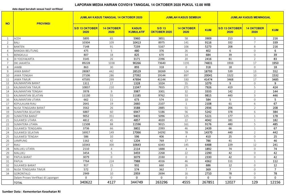
PEKANBARU – Kasus positif virus Corona (Covid-19) di Indonesia hari ini, Rabu (14/10/2020), bertambah 4.127  orang. Dengan penambahan tersebut, total kasus positif virus Corona di Indonesia hari ini menjadi 344.749 orang.

Sementara untuk Provinsi Riau, pasien positif Corona bertambah 300 orang. Dengan demikian, total pasien Covid-19 di Riau berjumlah 10.643 orang sejak pandemi Covid-19 menyerang Indonesia.

Berdasarkan situs Kementerian Kesehatan RI, hari ini dilaporkan juga ada 4.555 pasien sembuh dari Corona. Dengan penambahan itu, maka pasien sembuh dari Corona di RI total berjumlah 267.851 orang.

Baca Juga  Riau Tambah 112, Berikut Sebaran 4.461 Kasus Baru Corona di RI pada 27 Maret

Khusus Provinsi Riau, pasien positif Covid-19 yang sembuh hari ini berjumlah 145 orang. Dengan demikian, total pasien sembuh di Negeri Lancang Kuning itu menjadi 6.448 orang.

Di sisi lain, pasien positif Corona yang meninggal dunia di Indonesia hari ini ada 129 orang. Dengan demikian, total pasien positif Covid-19 yang meninggal menjadi 12.156 orang.

Sementara pasien Covid-19 yang meninggal karena Corona di Provinsi Riau hari ini ada 12 orang, dengan demikian total sudah mencapai 241 orang.

Baca Juga  BSI Melaksanakan Akad Kredit Massal Bagi 1.500 Nasabah

Berikut sebaran 4.127 kasus baru Corona di Indonesia, Rabu (14/10/2020):

DKI Jakarta: 1.038 kasus

Jawa Barat: 442 kasus

Sumatera Barat: 351 kasus

Riau: 300 kasus

Jawa Timur: 299 kasus

Jawa Tengah: 286 kasus

Papua: 224 kasus

Kalimantan Timur: 210 kasus

Sulawesi Selatan: 149 kasus

Bali: 109 kasus

Banten: 91 kasus

Sumatera Utara: 88 kasus

Sulawesi Tenggara: 66 kasus

Baca Juga  OMG! Riau Peringkat I Nasional, Ini Sebaran 5.034 Kasus Baru Corona di RI pada 26 Mei

Aceh: 65 kasus

Sumatera Selatan: 60 kasus

Kalimantan Selatan: 55 kasus

Sulawesi Utara: 45 kasus

Lampung: 42 kasus

Jambi: 30 kasus

DI Yogyakarta: 26 kasus

Nusa Tenggara Barat: 26 kasus

Kepulauan Riau: 19 kasus

Bengkulu: 18 kasus

Kalimantan Barat: 17 kasus

Sulawesi Barat: 15 kasus

Kalimantan Utara: 11 kasus

Sulawesi Tengah: 10 kasus

Gorontalo: 10 kasus

Kalimantan Tengah: 9 kasus

Bangka Belitung: 5 kasus

Maluku: 5 kasus

Maluku Utara: 4 kasus

Nusa Tenggara Timur: 2 kasus. (zon/riausatu.com)

News Feed