oleh

Pecah Rekor Lagi! Kasus Baru Corona RI 15 Januari Tambah 12.818, Riau Juga Naik

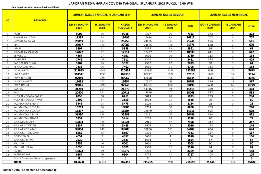
PEKANBARU – Kasus positif virus Corona (Covid-19) di Republik Indonesia (RI), Jumat  (15/1/2021), bertambah 12.818 orang. Dengan penambahan tersebut, total kasus positif virus Corona di Indonesia menjadi 882.418 kasus.

Sementara untuk Provinsi Riau, pasien positif Corona bertambah 170 orang. Dengan demikian, total pasien Covid-19 di Riau berjumlah 27.087 orang sejak pandemi Covid-19 menyerang Indonesia.

Berdasarkan situs Kementerian Kesehatan RI, hari ini dilaporkan juga ada 7.491
pasien sembuh dari Corona. Dengan penambahan itu, maka pasien sembuh dari Corona di Indonesia menjadi 718.696 orang.

Khusus Provinsi Riau, pasien positif Covid-19 yang sembuh hari ini berjumlah 186 orang. Dengan demikian, total pasien sembuh di Negeri Lancang Kuning itu menjadi 24.871 orang.

Baca Juga  Update Corona Riau 22 September: Tambah 84 Kasus, Sembuh 151, Wafat 6

Di sisi lain, pasien positif Corona yang meninggal dunia di Indonesia hari ini ada 238 orang. Dengan demikian, total pasien positif Covid-19 yang meninggal menjadi 25.484 orang.

Sementara pasien Covid-19 yang meninggal karena Corona di Provinsi Riau hari ini ada 2 orang, dengan demikian total sudah mencapai 630 orang. (zon/riausatu.com)

News Feed