oleh

Kembali Turun Kasus Corona di Riau 15 Februari, 51 Sembuh, 2 Meninggal

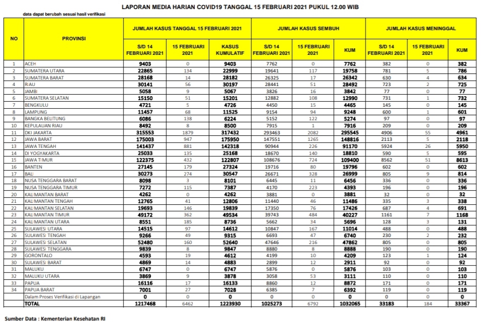
PEKANBARU – Kasus positif virus Corona (Covid-19) di Republik Indonesia (RI), Senin (15/2/2021), bertambah 6.462 orang. Dengan penambahan tersebut, total kasus positif virus Corona di Indonesia menjadi
1.223.930 kasus.

Sementara untuk Provinsi Riau, pasien positif Corona bertambah 56 orang. Dengan demikian, total pasien Covid-19 di Riau berjumlah 30.197 pandemi Covid-19 menyerang Indonesia.

Berdasarkan situs Kementerian Kesehatan RI, hari ini dilaporkan juga ada 6.792 pasien sembuh dari Corona. Dengan penambahan itu, maka pasien sembuh dari Corona di Indonesia menjadi 1.032.065 orang.

Baca Juga  Dukung Sektor Seni, Budaya dan Ekonomi Kreatif dalam Lakukan Vaksinasi Tahap Pertama Kepada Budayawan

Khusus Provinsi Riau, pasien positif Covid-19 yang sembuh hari ini berjumlah 51 orang. Dengan demikian, total pasien sembuh di Negeri Lancang Kuning itu menjadi 28.492 orang.

Di sisi lain, pasien positif Corona yang meninggal dunia di Indonesia hari ini ada 184 orang. Dengan demikian, total pasien positif Covid-19 yang meninggal menjadi 33.367 orang.

Sementara pasien Covid-19 yang meninggal karena Corona di Provinsi Riau hari ini ada 2 orang, dengan demikian total sudah mencapai 725 orang.

Baca Juga  Tambah 253, Kasus Corona di Riau pada 22 September Jadi 5.701

Berikut sebaran 6.462 kasus baru Corona di Indonesia, Senin (15/2/2021):

DKI Jakarta: 1.879 kasus

Jawa Barat: 947 kasus

Jawa Tengah: 881 kasus

Jawa Timur: 432 kasus

Kalimantan Timur: 362 kasus

Bali: 274 kasus

Kalimantan Utara: 185 kasus

Banten: 179 kasus

Sulawesi Selatan: 160 kasus

Kalimantan Selatan: 146 kasus

Bangka Belitung: 138 kasus

DI Yogyakarta: 135 kasus

Baca Juga  RI Pecah Rekor! Kasus Baru Corona Riau 13 November Kembali Naik

Sumatera Utara: 134 kasus

Nusa Tenggara Timur: 115 kasus

Sulawesi Utara: 97 kasus

Lampung: 68 kasus

Riau: 56 kasus

Sumatera Selatan: 51 kasus

Sulawesi Tengah: 49 kasus

Kalimantan Tengah: 41 kasus

Papua Barat: 27 kasus

Gorontalo: 19 kasus

Papua: 17 kasus

Sumatera Barat: 14 kasus

Sulawesi barat: 14 kasus

Jambi: 9 kasus

Maluku Utara: 9 kasus

Kepulauan Riau: 8 kasus

Sulawesi Tenggara: 8 kasus

Bengkulu: 5 kasus

Nusa Tenggara Barat: 3 kasus. (zon/riausatu.com)

News Feed