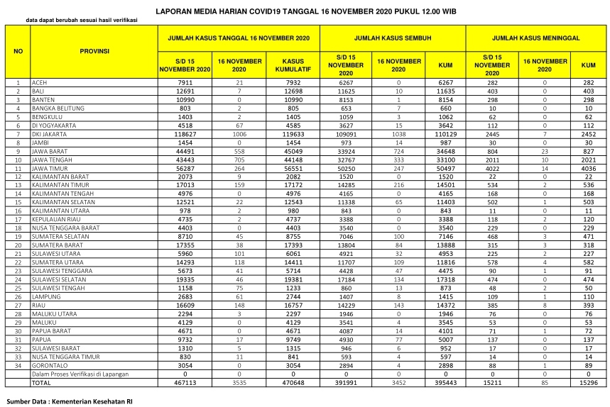
PEKANBARU – Kasus positif virus Corona (Covid-19) di Indonesia, Senin (16/11/2020), bertambah 3.535 orang. Dengan penambahan tersebut, total kasus positif virus Corona di Indonesia menjadi 470.648 orang.
Sementara untuk Provinsi Riau, pasien positif Corona bertambah 148 orang. Dengan demikian, total pasien Covid-19 di Riau berjumlah 16.757 orang sejak pandemi Covid-19 menyerang Indonesia.
Berdasarkan situs Kementerian Kesehatan RI, hari ini dilaporkan juga ada 3.452 pasien sembuh dari Corona. Dengan penambahan itu, maka pasien sembuh dari Corona di Indonesia menjadi 395.443 orang.
Khusus Provinsi Riau, pasien positif Covid-19 yang sembuh hari ini berjumlah 143 orang. Dengan demikian, total pasien sembuh di Negeri Lancang Kuning itu menjadi 14.372 orang.
Di sisi lain, pasien positif Corona yang meninggal dunia di Indonesia hari ini ada 85 orang. Dengan demikian, total pasien positif Covid-19 yang meninggal menjadi 15.296 orang.
Sementara pasien Covid-19 yang meninggal karena Corona di Provinsi Riau hari ini ada 8 orang, dengan demikian total sudah mencapai 393 orang.
Berikut sebaran 3.535 kasus baru Corona di Indonesia, Senin (16/11/2020):
DKI Jakarta: 1.006
Jawa Tengah: 705
Jawa Barat: 558
Jawa Timur: 264
Kalimantan Timur: 159
Riau: 148
Sumatera Utara: 118
Sulawesi Utara: 101
Sulawesi Tengah: 75
DI Yogyakarta: 67
Lampung: 61
Sulawesi Selatan: 46
Sumatera Selatan: 45
Sulawesi Tenggara: 41
Sumatera Barat: 38
Kalimantan Selatan: 22
Aceh: 21
Papua: 17
NTT: 11
Kalimantan Barat: 9
Bali: 7
Sulawesi Barat: 5
Maluku Utara: 3
Bangka Belitung: 2
Bengkulu: 2
Kalimantan Utara: 2
Kepulauan Riau: 2. (zon/riausatu.com)








