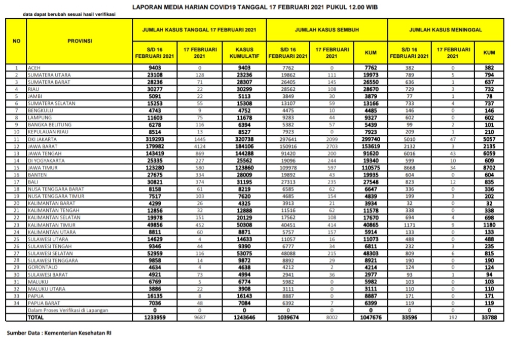
PEKANBARU – Kasus positif virus Corona (Covid-19) di Republik Indonesia (RI), Rabu (17/2/2021), bertambah 9.687 orang. Dengan penambahan tersebut, total kasus positif virus Corona di Indonesia menjadi
1.243.646 kasus.
Sementara untuk Provinsi Riau, pasien positif Corona bertambah 22 orang. Dengan demikian, total pasien Covid-19 di Riau berjumlah 30.299 pandemi Covid-19 menyerang Indonesia.
Berdasarkan situs Kementerian Kesehatan RI, hari ini dilaporkan juga ada 8.002 pasien sembuh dari Corona. Dengan penambahan itu, maka pasien sembuh dari Corona di Indonesia menjadi 1.047.676 orang.
Khusus Provinsi Riau, pasien positif Covid-19 yang sembuh hari ini berjumlah 108 orang. Dengan demikian, total pasien sembuh di Negeri Lancang Kuning itu menjadi 28.670 orang.
Di sisi lain, pasien positif Corona yang meninggal dunia di Indonesia hari ini ada 192 orang. Dengan demikian, total pasien positif Covid-19 yang meninggal menjadi 33.788 orang.
Sementara pasien Covid-19 yang meninggal karena Corona di Provinsi Riau hari ini ada 3 orang, dengan demikian total sudah mencapai 732 orang.
Berikut sebaran 9.687 kasus baru Corona di Indonesia, Rabu (17/2/2021):
Jawa Barat: 4.124 kasus
DKI Jakarta: 1.445 kasus
Jawa Tengah: 869 kasus
Jawa Timur: 580 kasus
Kalimantan Timur: 452 kasus
Bali: 374 kasus
Banten: 334 kasus
DI Yogyakarta: 227 kasus
Kalimantan Selatan: 151 kasus
Sumatera Utara: 128 kasus
Bangka Belitung: 116 kasus
Sulawesi Selatan: 116 kasus
Nusa Tenggara Timur: 103 kasus
Lampung: 75 kasus
Sulawesi Barat: 73 kasus
Sumatera Barat: 71 kasus
Nusa Tenggara Barat: 61 kasus
Kalimantan Utara: 60 kasus
Sumatera Selatan: 55 kasus
Papua Barat: 48 kasus
Sulawesi Tengah: 44 kasus
Kalimantan Tengah: 32 kasus
Kalimantan Barat: 26 kasus
Riau: 22 kasus
Jambi: 22 kasus
Maluku Utara: 22 kasus
Sulawesi Tenggara: 14 kasus
Kepulauan Riau: 13 kasus
Bengkulu: 9 kasus
Papua: 8 kasus
Maluku: 5 kasus
Sulawesi Utara: 4 kasus
Gorontalo: 4 kasus. (zon/riausatu.com)










