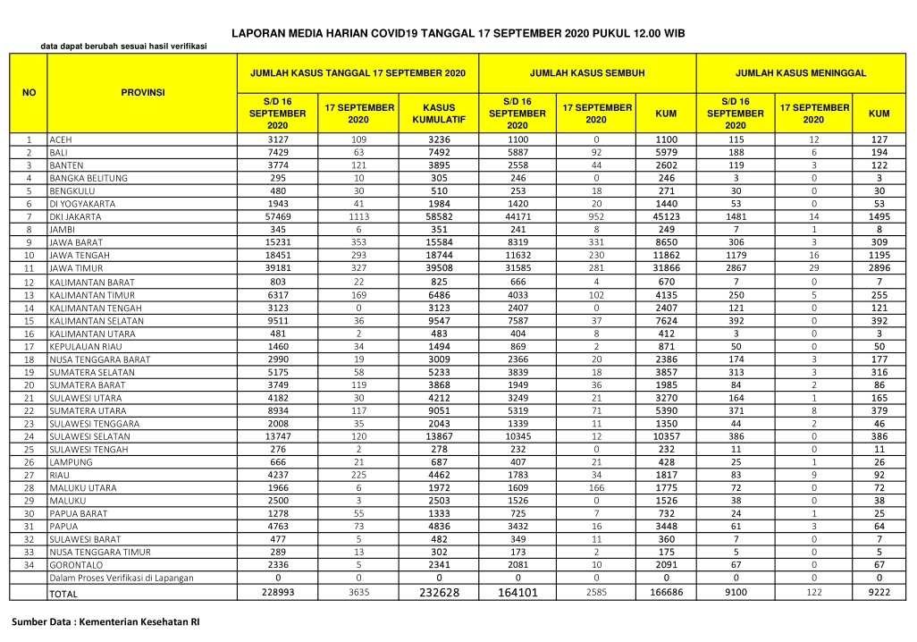
PEKANBARU – Kasus positif virus Corona (Covid-19) di Indonesia hari ini, Kamis (17/9/2020), bertambah 3.635 orang. Dengan penambahan tersebut, total kasus positif virus Corona di Indonesia hari ini menjadi 232.628 orang.
Sementara untuk Provinsi Riau, pasien positif bertambah 225 orang. Dengan demikian, pasien Covid-19 di Riau berjumlah 4.462 orang sejak pandemi Covid-19 menyerang Indonesia.
Buat Provinsi Riau ini merupakan rekor baru karena rekor penambahan pasien positif Covid-19 sebelumnya berjumlah 224 orang, pada Sabtu (12/9/2020).
Berdasarkan situs Kementerian Kesehatan RI, hari ini dilaporkan ada 2.585 pasien sembuh dari Corona. Dengan penambahan itu, maka pasien dinyatakan sembuh dari Corona di RI total berjumlah 166.686 orang.
Di sisi lain, pasien positif Corona yang meninggal dunia, Kamis (17/9/2820), berjumlah 122 orang. Dengan demikian, total pasien positif Covid-19 yang meninggal menjadi 9.222 orang.
Khusus Provinsi Riau, pasien sembuh hari ini berjumlah 34 orang, dengan demikian total pasien sembuh menjadi 1.817 orang.Sementara pasien Covid-19 yang meninggal karena Corona di Provinsi Riau hari ini ada 9 orang, dengan demikian total 92.
Berikut sebaran 3.635 kasus baru Corona di Indonesia, Kamis (17/9/2020):
Aceh: 109 kasus
Bali: 63 kasus
Banten: 121 kasus
Bangka Belitung: 10 kasus
Bengkulu: 30 kasus
DI Yogyakarta: 41 kasus
DKI Jakarta: 1.113 kasus
Jambi: 6 kasus
Jawa Barat: 353 kasus
Jawa Tengah: 293 kasus
Jawa Timur: 327 kasus
Kalimantan Barat: 22 kasus
Kalimantan Timur: 169 kasus
Kalimantan Selatan: 36 kasus
Kalimantan Utara: 2 kasus
Kepulauan Riau: 34 kasus
Nusa Tenggara Barat: 19 kasus
Sumatera Selatan: 58 kasus
Sumatera Barat: 119 kasus
Sulawesi Utara: 30 kasus
Sumatera Utara: 117 kasus
Sulawesi Tenggara: 35 kasus
Sulawesi Selatan: 120 kasus
Sulawesi Tengah: 2 kasus
Lampung: 21 kasus
Riau: 225 kasus
Maluku Utara: 6 kasus
Maluku: 3 kasus
Papua Barat: 55 kasus
Papua: 73 kasus
Sulawesi Barat: 5 kasus
Nusa Tenggara Timur: 13 kasus
Gorontalo: 5 kasus. (zon/riausatu.com)









Komentar