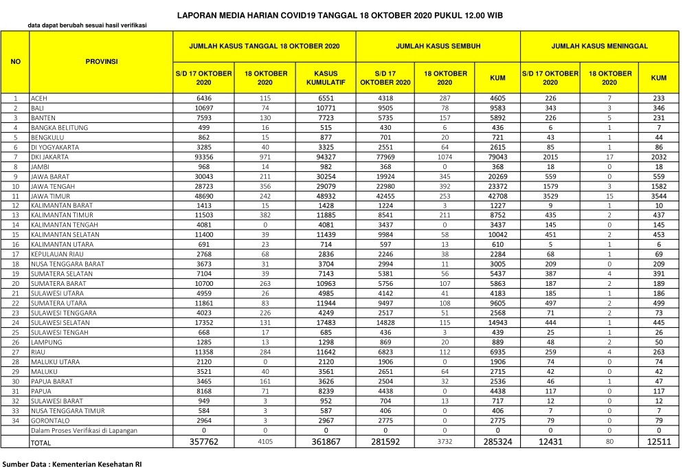
PEKANBARU – Kasus positif virus Corona (Covid-19) di Indonesia hari ini, Ahad (18/10/2020), bertambah 4.105 orang. Dengan penambahan tersebut, total kasus positif virus Corona di Indonesia menjadi 361.867 orang.
Sementara untuk Provinsi Riau, pasien positif Corona bertambah 284 orang. Dengan demikian, total pasien Covid-19 di Riau berjumlah 11.642 orang sejak pandemi Covid-19 menyerang Indonesia.
Berdasarkan situs Kementerian Kesehatan RI, hari ini dilaporkan juga ada 3.732 pasien sembuh dari Corona. Dengan penambahan itu, maka pasien sembuh dari Corona di RI total berjumlah 285.324 orang.
Khusus Provinsi Riau, pasien positif Covid-19 yang sembuh hari ini berjumlah 112 orang. Dengan demikian, total pasien sembuh di Negeri Lancang Kuning itu menjadi 6.935 orang.
Di sisi lain, pasien positif Corona yang meninggal dunia di Indonesia hari ini ada 89 orang. Dengan demikian, total pasien positif Covid-19 yang meninggal menjadi 12.511 orang.
Sementara pasien Covid-19 yang meninggal karena Corona di Provinsi Riau hari ini ada 4 orang, dengan demikian total sudah mencapai 263 orang.
Berikut sebaran 4.105 kasus baru Corona di Indonesia, Ahad (18/10/2020):
DKI Jakarta: 971
Kalimantan Timur: 382
Jawa Tengah: 356
Riau: 284
Sumatera Barat: 263
Jawa Timur: 242
Sulawesi Tenggara: 226
Jawa Barat: 211
Papua Barat:161
Sulawesi Selatan: 131
Banten: 130
Aceh: 115
Sumatera Utara: 83
Bali: 74
Papua: 71
Kepulauan Riau: 68
DI Yogyakarta: 40
Maluku: 40
Kalimantan Selatan: 39
Sumatera Selatan: 39
Nusa Tenggara Barat: 31
Sulawesi Utara: 26
Kalimantan Utara: 23
Sulawesi Tengah: 17
Bangka Belitung: 16
Bengkulu: 15
Kalimantan Barat: 15
Jambi: 14
Lampung: 13
Sulawesi Barat: 3
Nusa Tenggara Timur: 3
Gorontalo: 3. (zon/riausatu.com)








