oleh

Update Corona Riau 18 Desember: Tambah 184 Kasus, 198 Sembuh, 9 Meninggal

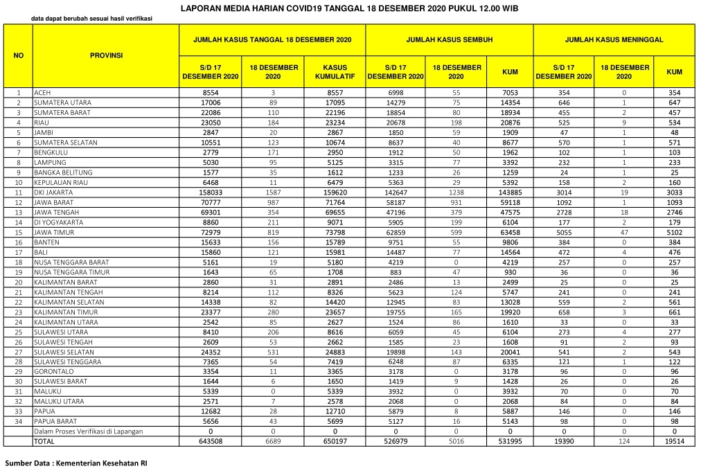
PEKANBARU – Kasus positif virus Corona (Covid-19) di Republik Indonesia (RI), Jumat   (18/12/2020), bertambah 6.689 orang. Dengan penambahan tersebut, total kasus positif virus Corona di Indonesia menjadi 650.197 orang.

Sementara untuk Provinsi Riau, pasien positif Corona bertambah 184 orang. Dengan demikian, total pasien Covid-19 di Riau berjumlah 23.234 orang sejak pandemi Covid-19 menyerang Indonesia.

Berdasarkan situs Kementerian Kesehatan RI, hari ini dilaporkan juga ada 5.016 pasien sembuh dari Corona. Dengan penambahan itu, maka pasien sembuh dari Corona di Indonesia  menjadi 531.995 orang.

Baca Juga  Riau Urutan Ketujuh, Ini Sebaran 5.754 Kasus Corona RI 7 Desember

Khusus Provinsi Riau, pasien positif Covid-19 yang sembuh hari ini berjumlah 198 orang. Dengan demikian, total pasien sembuh di Negeri Lancang Kuning itu menjadi 20.876 orang.

Di sisi lain, pasien positif Corona yang meninggal dunia di Indonesia hari ini ada 124 orang. Dengan demikian, total pasien positif Covid-19 yang meninggal menjadi 19.514 orang.

Sementara pasien Covid-19 yang meninggal karena Corona di Provinsi Riau hari ini ada 9 orang, dengan demikian total sudah mencapai 534 orang.

Baca Juga  Giliran Sumut Juara Sumatera! Riau Tambah 1.276, Ini Sebaran Kasus Corona di RI 28 Juli

Berikut sebaran 6.689 kasus baru Corona di Indonesia, Jumat  (18/12/2020):

DKI Jakarta: 1.587 kasus
Jawa Barat: 987 kasus
Jawa Timur: 819 kasus
Sulawesi Selatan: 531 kasus
Jawa Tengah: 354 kasus
Kalimantan Timur: 280 kasus
DI Yogyakarta: 211 kasus
Sulawesi Utara: 206 kasus
Riau: 184 kasus
Bengkulu: 171 kasus
Banten: 156 kasus
Sumatera Selatan: 123 kasus
Bali: 121 kasus
Kalimantan Tengah: 112 kasus
Sumatera Barat: 110 kasus
Lampung: 95 kasus
Sumatera Utara: 89 kasus
Kalimantan Utara: 85 kasus
Kalimantan Selatan: 82 kasus
Nusa Tenggara Timur: 65 kasus
Sulawesi Tenggara: 54 kasus
Sulawesi Tengah: 53 kasus
Papua Barat: 43 kasus
Bangka Belitung: 35 kasus
Kalimantan Barat: 31 kasus
Papua: 28 kasus
Jambi: 20 kasus
Nusa Tenggara Barat: 19 kasus
Kepulauan Riau: 11 kasus
Gorontalo: 11 kasus
Maluku Utara: 7 kasus
Sulawesi Barat: 6 kasus
Aceh: 3 kasus. (zon/riausatu.com)

News Feed