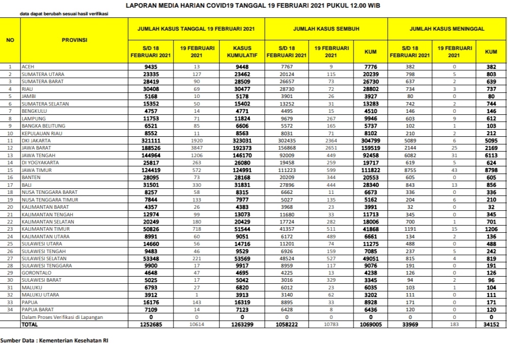
PEKANBARU – Kasus positif virus Corona (Covid-19) di Republik Indonesia (RI), Jumat (19/2/2021), bertambah 10.614 orang. Dengan penambahan tersebut, total kasus positif virus Corona di Indonesia menjadi
1.263.299 kasus.
Sementara untuk Provinsi Riau, pasien positif Corona bertambah 69 orang. Dengan demikian, total pasien Covid-19 di Riau berjumlah 30.477 pandemi Covid-19 menyerang Indonesia.
Berdasarkan situs Kementerian Kesehatan RI, hari ini dilaporkan juga ada 10.783 pasien sembuh dari Corona. Dengan penambahan itu, maka pasien sembuh dari Corona di Indonesia menjadi 1.069.005 orang.
Khusus Provinsi Riau, pasien positif Covid-19 yang sembuh hari ini berjumlah 72 orang. Dengan demikian, total pasien sembuh di Negeri Lancang Kuning itu menjadi 28.802 orang.
Di sisi lain, pasien positif Corona yang meninggal dunia di Indonesia hari ini ada 183 orang. Dengan demikian, total pasien positif Covid-19 yang meninggal menjadi 34.152 orang.
Sementara pasien Covid-19 yang meninggal karena Corona di Provinsi Riau hari ini ada 3 orang, dengan demikian total sudah mencapai 737 orang.
Berikut sebaran 10.614 kasus baru Corona di Indonesia, Jumat (19/2/2021):
Jawa Barat: 3.847 kasus
DKI Jakarta: 1.920 kasus
Jawa Tengah: 1.206 kasus
Kalimantan Timur: 718 kasus
Jawa Timur: 572 kasus
Bali: 330 kasus
DI Yogyakarta: 263 kasus
Sulawesi Selatan: 221 kasus
Kalimantan Selatan: 180 kasus
Papua: 143 kasus
Nusa Tenggara Timur: 133 kasus
Sumatera Utara: 127 kasus
Kalimantan Tengah: 99 kasus
Sumatera Barat: 90 kasus
Bangka Belitung: 85 kasus
Banten: 73 kasus
Lampung: 71 kasus
Riau: 69 kasus
Kalimantan Utara: 60 kasus
Nusa Tenggara Barat: 58 kasus
Sulawesi Utara: 56 kasus
Sumatera Selatan: 50 kasus
Gorontalo: 47 kasus
Sulawesi Tengah: 46 kasus
Maluku: 27 kasus
Kalimantan Barat: 26 kasus
Sulawesi Tenggara: 17 kasus
Sulawesi Barat: 17 kasus
Bengkulu: 14 kasus
Papua Barat: 14 kasus
Aceh: 13 kasus
Kepulauan Riau: 11 kasus
Jambi: 10 kasus
Maluku Utara: 1 kasus. (zon/riausatu.com)










