oleh

Riau 133 Kasus, Ini Sebaran 8.054 Kasus Baru Corona di RI pada 20 Februari

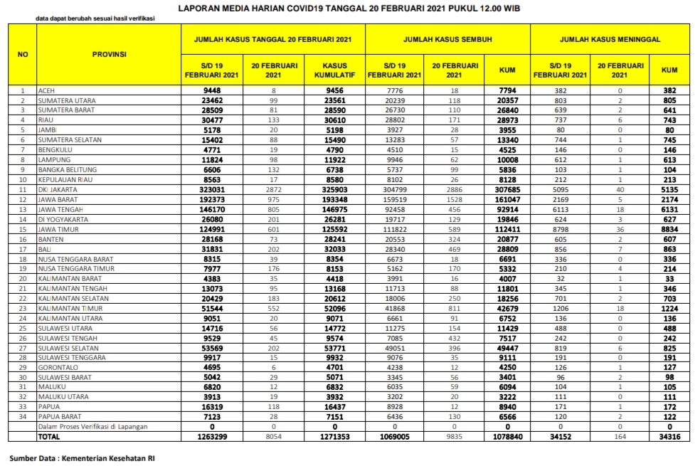
PEKANBARU – Kasus positif virus Corona (Covid-19) di Republik Indonesia (RI), Sabtu  (20/2/2021), bertambah 8.054 orang. Dengan penambahan tersebut, total kasus positif virus Corona di Indonesia menjadi
1.271.353 kasus.

Sementara untuk Provinsi Riau, pasien positif Corona bertambah 133 orang. Dengan demikian, total pasien Covid-19 di Riau berjumlah 30.610 pandemi Covid-19 menyerang Indonesia.

Berdasarkan situs Kementerian Kesehatan RI, hari ini dilaporkan juga ada 9.834 pasien sembuh dari Corona. Dengan penambahan itu, maka pasien sembuh dari Corona di Indonesia menjadi 1.078.840 orang.

Baca Juga  AMKP Demo Lagi, Desak Kejati Usut HGU PT SDG dan Dugaan Pencucian Uang Ciliandra Fangiono

Khusus Provinsi Riau, pasien positif Covid-19 yang sembuh hari ini berjumlah 171 orang. Dengan demikian, total pasien sembuh di Negeri Lancang Kuning itu menjadi 38.973 orang.

Di sisi lain, pasien positif Corona yang meninggal dunia di Indonesia hari ini ada 164 orang. Dengan demikian, total pasien positif Covid-19 yang meninggal menjadi 34.316 orang.

Sementara pasien Covid-19 yang meninggal karena Corona di Provinsi Riau hari ini ada 6 orang, dengan demikian total sudah mencapai 743 orang.

Baca Juga  Ngeri! Riau Sumbang 628, Berikut Sebaran 6.327 Kasus Baru Corona di RI pada 7 Mei

Berikut sebaran 8.054 kasus baru Corona di Indonesia, Sabtu (20/2/2021):

DKI Jakarta: 2.872 kasus

Jawa Barat: 975 kasus

Jawa Tengah: 805 kasus

Jawa Timur: 601 kasus

Kalimantan Timur: 552 kasus

Bali: 202 kasus

Sulawesi Selatan: 202 kasus

DI Yogyakarta: 201 kasus

Kalimantan Selatan: 183 kasus

Nusa Tenggara Timur: 176 kasus

Riau: 133 kasus

Bangka Belitung: 132 kasus

Papua: 118 kasus

Sumatera Utara: 99 kasus

Lampung: 98 kasus

Baca Juga  Bersama 5 Provinsi Lain, Hari Ini Kasus Baru Corona Riau Tambah 1, Ini Datanya

Kalimantan Tengah: 95 kasus

Sumatera Selatan: 88 kasus

Sumatera Barat: 81 kasus

Banten: 73 kasus

Sulawesi Utara: 56 kasus

Sulawesi Tengah: 45 kasus

Nusa Tenggara Barat: 39 kasus

Kalimantan Barat: 35 kasus

Sulawesi Barat: 29 kasus

Papua Barat: 28 kasus

Jambi: 20 kasus

Kalimantan Utara: 20 kasus

Bengkulu: 19 kasus

Maluku Utara: 19 kasus

Kepulauan Riau: 17 kasus

Sulawesi Tenggara: 15 kasus

Maluku: 12 kasus

Aceh: 8 kasus

Gorontalo: 6 kasus. (zon/riausatu.com)

News Feed