oleh

Update Corona Hari Ini: RI Pecah Rekor, Riau Tambah 160 Kasus Meninggal 6

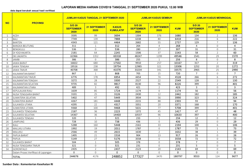
PEKANBARU – Kasus positif virus Corona (Covid-19) di Republik Indonesia hari ini, Senin (21/9/2020), bertambah 4.176 orang. Dengan penambahan tersebut, total kasus positif virus Corona di Indonesia hari ini menjadi 248.852 orang.

Bagi Indonesia, angka 4.176 tercatat sebagai rekor baru tambahan kasus pasien positif Covid-19 sejak pandemi ini menyerang Indonesia. Rekor sebelumnya, penambahan 4.168 kasus pada Sabtu (19/9/2020).

Sementara untuk Provinsi Riau, pasien positif bertambah 160 orang. Dengan demikian, pasien Covid-19 di Riau berjumlah 5.448 orang.

Berdasarkan situs Kementerian Kesehatan RI, dilaporkan ada 3.470 pasien sembuh dari Corona. Dengan penambahan itu, maka pasien dinyatakan sembuh dari Corona di RI total berjumlah 180.797 orang.

Di sisi lain, pasien positif Corona yang meninggal dunia, Senin (21/9/2020), berjumlah 124 orang. Dengan demikian, total pasien positif Covid-19 yang meninggal menjadi 9.677 orang.

Baca Juga  Baku Tembak Dengan KKB di Ilaga

Khusus Provinsi Riau, pasien sembuh hari ini berjumlah 33 orang, dengan demikian total pasien sembuh menjadi 2.194 orang.

Sementara pasien Covid-19 yang meninggal karena Corona di Provinsi Riau hari ini ada 6 orang, dengan demikian total 106 orang. (zon/riausatu.com)

News Feed