oleh

Update Corona Riau 23 Februari: Tambah 116 Kasus Baru, 59 Sembuh, 3 Meninggal

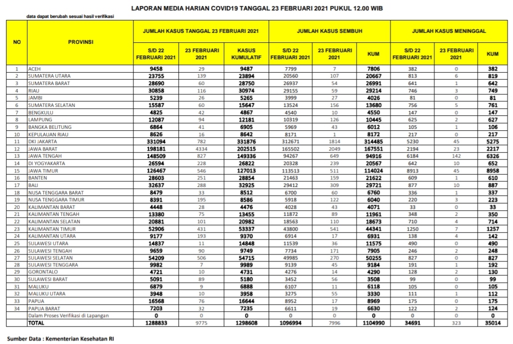
PEKANBARU – Kasus positif virus Corona (Covid-19) di Republik Indonesia (RI), Selasa (23/2/2021), bertambah 9.775 orang. Dengan penambahan tersebut, total kasus positif virus Corona di Indonesia menjadi
1.298.608 kasus.

Sementara untuk Provinsi Riau, pasien positif Corona bertambah 116 orang. Dengan demikian, total pasien Covid-19 di Riau berjumlah 30.974 pandemi Covid-19 menyerang Indonesia.

Berdasarkan situs Kementerian Kesehatan RI, hari ini dilaporkan juga ada 7.996 pasien sembuh dari Corona. Dengan penambahan itu, maka pasien sembuh dari Corona di Indonesia menjadi 1.104.990 orang.

Baca Juga  Lansia Jadi Mayoritas Penerima Vaksin Covid-19 Tahap II

Khusus Provinsi Riau, pasien positif Covid-19 yang sembuh hari ini berjumlah 59 orang. Dengan demikian, total pasien sembuh di Negeri Lancang Kuning itu menjadi 39.214 orang.

Di sisi lain, pasien positif Corona yang meninggal dunia di Indonesia hari ini ada 323 orang. Dengan demikian, total pasien positif Covid-19 yang meninggal menjadi 35.014 orang.

Sementara pasien Covid-19 yang meninggal karena Corona di Provinsi Riau hari ini ada 3 orang, dengan demikian total sudah mencapai 749 orang.

Baca Juga  Riau Tambah 4, Berikut Sebaran 261 Kasus Baru Corona RI 7 Desember

Berikut sebaran 9.775 kasus baru Corona di Indonesia, Selasa (23/2/2021):

Jawa Barat: 4.334 kasus
Jawa Tengah: 827 kasus
DKI Jakarta: 728 kasus
Jawa Timur: 546 kasus
Sulawesi Selatan: 506 kasus
Kalimantan Timur: 431 kasus
Bali: 288 kasus
Banten: 251 kasus
DI Yogyakarta: 228 kasus
NTT: 195 kasus
Kalimantan Utara: 193 kasus
Sumatera Utara: 139 kasus
Riau: 116 kasus
Kalimantan Selatan: 101 kasus
Lampung: 94 kasus
Sulawesi Tengah: 90 kasus
Sulawesi Barat: 89 kasus
Papua: 76 kasus
Kalimantan Tengah: 75 kasus
Sumatera Barat: 60 kasus
Sumatera Selatan: 60 kasus
Bengkulu: 42 kasus
Bangka Belitung: 41 kasus
NTB: 33 kasus
Papua Barat: 32 kasus
Aceh: 29 kasus
Kalimantan Barat: 28 kasus
Jambi: 26 kasus
Kepulauan Riau: 16 kasus
Sulawesi Utara: 11 kasus
Gorontalo: 10 kasus
Maluku Utara: 10 kasus
Maluku: 9 kasus
Sulawesi Tenggara: 7 kasus. (zon/riausatu.com)

News Feed