oleh

Indonesia Pecah Rekor Lagi! Kasus Corona Riau Tambah 188, Meninggal 11

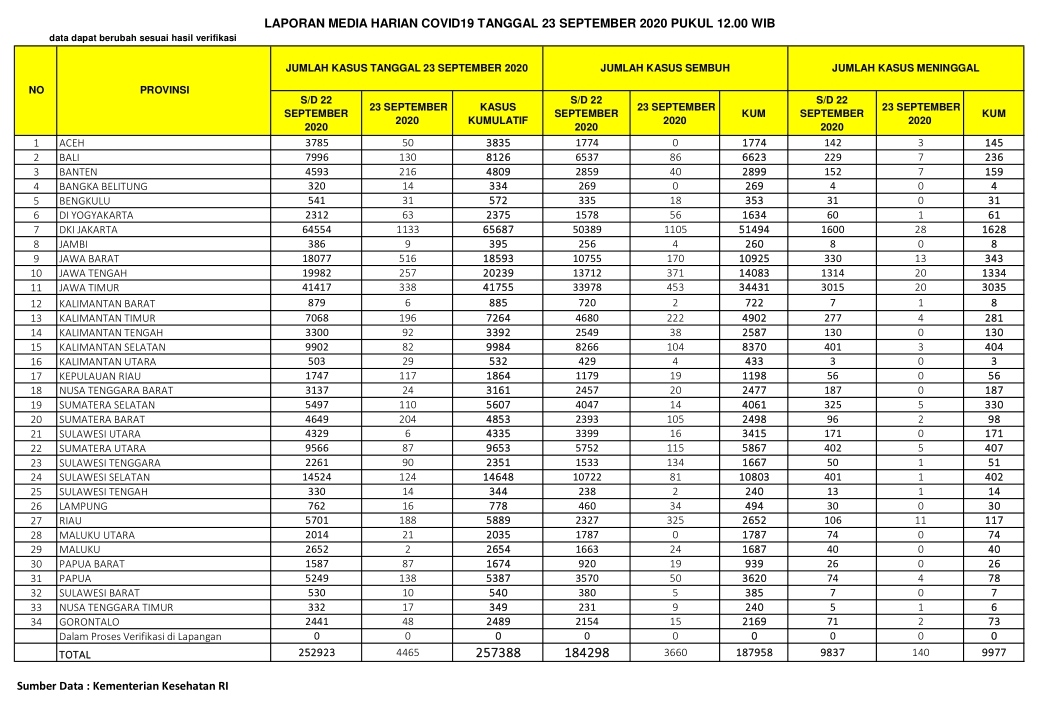
PEKANBARU – Kasus positif virus Corona (Covid-19) di Indonesia hari ini, Rabu (23/9/2020), bertambah 4.465 orang. Dengan penambahan tersebut, total kasus positif virus Corona di Indonesia hari ini menjadi 257.388 orang.

Bagi Indonesia, angka 4.465 tercatat sebagai rekor baru tambahan kasus pasien positif Covid-19. Sebelumnya, rekor terjadi Senin (21/9/2020), dengan tambahan kasus positif sebanyak 4.176 kasus.

Sementara untuk Provinsi Riau, pasien positif bertambah 188 orang. Dengan demikian, pasien Covid-19 di Riau total menjadi 5.889 orang.

Baca Juga  Peringatan HPN 2021, PWI Riau rencanakan di Pulau Terluar Rupat, Bengkalis

Berdasarkan situs Kementerian Kesehatan RI, dilaporkan ada 3.660 pasien sembuh dari Corona. Dengan penambahan itu, maka pasien dinyatakan sembuh dari Corona di RI total berjumlah 187.958 orang.

Di sisi lain, pasien positif Corona yang meninggal dunia, Rabu (23/9/2020), berjumlah 140 orang. Dengan demikian, total pasien positif Covid-19 yang meninggal menjadi 9.977 orang.

Khusus Provinsi Riau, pasien sembuh hari ini berjumlah 325 orang, dengan demikian total pasien sembuh menjadi 2.652 orang.

Sementara pasien Covid-19 yang meninggal karena Corona di Provinsi Riau hari ini ada 11 orang, dengan demikian total 117 orang.

Baca Juga  Disperindag Kota Pekanbaru Pantau Ketersediaan Bahan Pokok Pasca Ramadhan

Berikut sebaran 4.465 kasus baru Corona di Indonesia, Rabu (23/9/2020):

DKI Jakarta: 1.133 kasus

Jawa Barat: 516 kasus

Jawa Timur: 338 kasus

Jawa Tengah: 257 kasus

Banten: 216 kasus

Sumatera Barat: 204 kasus

Kalimantan Timur: 196 kasus

Riau: 188 kasus

Papua: 138 kasus

Bali: 130 kasus

Sulawesi Selatan: 124 kasus

Baca Juga  71 Tahun Film Nasional, Golkar Riau Gelar Nobar Bioskop Bersama Gubri

Kepulauan Riau: 117 kasus

Sumatera Selatan: 110 kasus

Kalimantan Tengah: 92 kasus

Sulawesi Tenggara: 90 kasus

Sumatera Utara: 87 kasus

Papua Barat: 87 kasus

Kalimantan Selatan: 82 kasus

DI Yogyakarta: 63 kasus

Aceh: 50 kasus

Gorontalo: 48 kasus

Bengkulu: 31 kasus

Kalimantan Utara: 29 kasus

Nusa Tenggara Barat: 24 kasus

Maluku Utara: 21 kasus

Nusa Tenggara Timur: 17 kasus

Lampung: 16 kasus

Bangka Belitung: 14 kasus

Sulawesi Tengah: 14 kasus

Sulawesi Barat: 10 kasus

Jambi: 9 kasus

Kalimantan Barat: 6 kasus

Sulawesi Utara: 6 kasus

Maluku: 2 kasus. (zon/riausatu.com)

News Feed