oleh

Riau Sumbang 421, Berikut Sebaran 4.544 Kasus Baru Corona RI 24 April

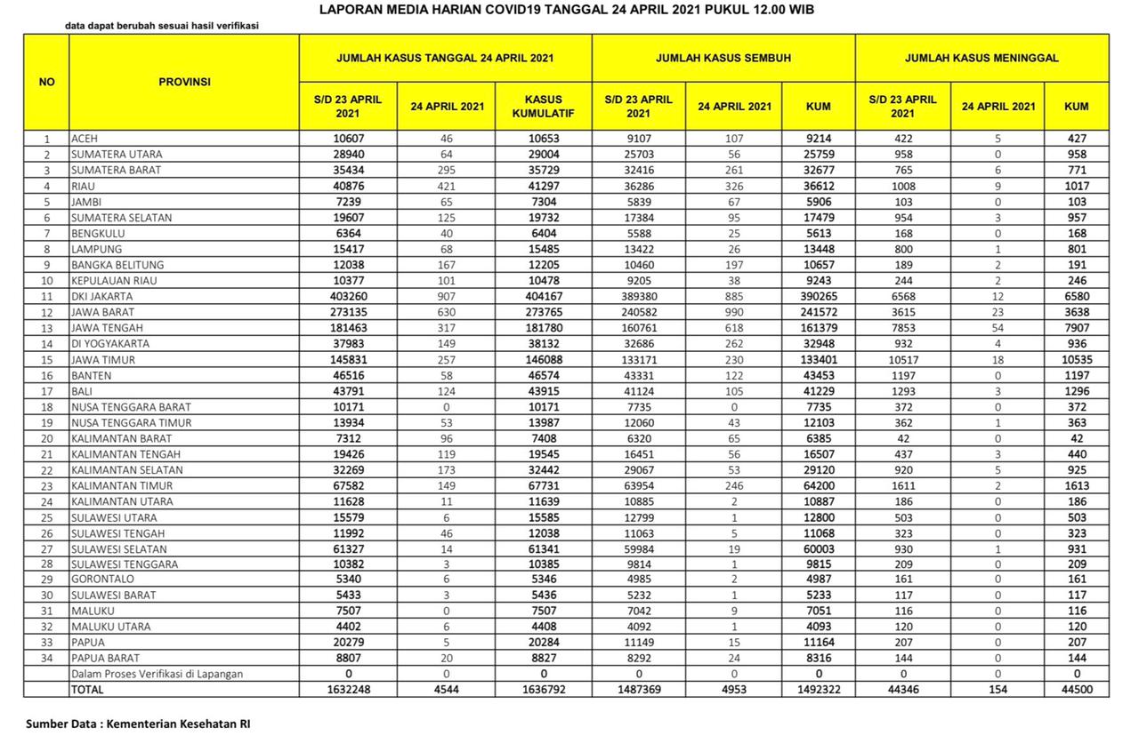
PEKANBARU – Kasus positif virus Corona (Covid-19) di Republik Indonesia (RI), Sabtu (24/4/2021), bertambah 4.544 orang. Dengan penambahan tersebut, total kasus positif virus Corona di Indonesia menjadi menjadi 1.636.792 orang.

Sementara untuk Provinsi Riau, pasien positif Corona bertambah 421 orang. Dengan demikian, total pasien Covid-19 di Riau berjumlah 41.297 orang sejak pandemi Covid-19 menyerang Indonesia.

Berdasarkan situs Kementerian Kesehatan RI, hari ini dilaporkan juga ada 4.953 pasien sembuh dari Corona. Dengan penambahan itu, maka pasien sembuh dari Corona di Indonesia menjadi 1.492.322 orang.

Baca Juga  Seminar Provinsi Jawa Tengah: Kolaborasi SMSI dan Undip Perjuangkan RM Margono Djojohadikusumo Jadi Pahlawan Nasional

Khusus Provinsi Riau, pasien positif Covid-19 yang sembuh hari ini berjumlah 326 orang. Dengan demikian, total pasien sembuh di Negeri Lancang Kuning itu menjadi 36.612 orang.

Di sisi lain, pasien positif Corona yang meninggal dunia di Indonesia hari ini ada 154 orang. Dengan demikian, total pasien positif Covid-19 yang meninggal menjadi 44.500 orang.

Sementara pasien Covid-19 di Provinsi Riau yang meninggal hari ini ada 9 orang, dengan demikian total 1.017 orang.

Baca Juga  Update Corona Riau 11 Desember: Tambah 149 Kasus, 181 Sembuh

Berikut sebaran 4.544 kasus baru Corona di Indonesia, Sabtu (24/4/2021):

DKI Jakarta: 907 kasus

Jawa Barat: 630 kasus

Riau: 421 kasus

Jawa Tengah: 317 kasus

Sumatera Barat: 295 kasus

Jawa Timur: 257 kasus

Kalimantan Selatan: 173 kasus

Bangka Belitung: 167 kasus

DI Yogyakarta: 149 kasus

Kalimantan Timur: 149 kasus

Sumatera Selatan: 125 kasus

Bali: 124 kasus

Kalimantan Tengah: 119 kasus

Baca Juga  Lagi, BIN Daerah Riau Gelar Vaksinasi Massal Covid-19, Diikuti 11 Ribu Peserta

Kepulauan Riau: 101 kasus

Kalimantan Barat: 96 kasus

Lampung: 68 kasus

Jambi: 65 kasus

Sumatera Utara: 64 kasus

Banten: 58 kasus

Nusa Tenggara Timur: 53 kasus

Aceh: 46 kasus

Sulawesi Tengah: 46 kasus

Bengkulu: 40 kasus

Papua Barat: 20 kasus

Sulawesi Selatan: 14 kasus

Kalimantan Utara: 11 kasus

Sulawesi Utara: 6 kasus

Gorontalo: 6 kasus

Maluku Utara: 6 kasus

Papua: 5 kasus

Sulawesi Tenggara: 3 kasus

Sulawesi Barat: 3 kasus

Nusa Tenggara Barat: 0 kasus

Maluku: 0 kasus. (zon/riausatu.com)

News Feed