oleh

Luar Biasa! RI Pecah Rekor Lagi, Kasus Corona Riau Tambah 231 per 24 September

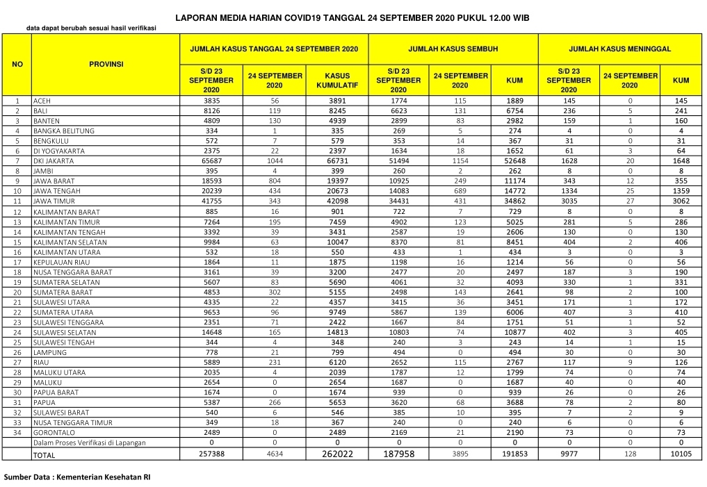
PEKANBARU – Luar biasa! Dua hari berturut-turut, rekor penambahan kasus pasien positif Covid-19 per hari di Republik Indonesia (RI), saling kejar-kejaran.

Setelah Rabu (23/9/2020) kemarin, rekor harian tercatat 4.465 kasus baru mengalahkan rekor Senin (21/9/2020), yang berjumlah 4.176 orang. Hari ini, Kamis (24/9/2020), rekor harian kembali pecah, yakni 4.634 kasus.

Dengan penambahan tersebut, total kasus positif virus Corona di Indonesia hari ini menjadi 262.022 orang sejak pandemi Covid-19 menyerang Indonesia.

Sementara untuk Provinsi Riau, pasien positif bertambah 231 orang. Dengan demikian, pasien Covid-19 di Riau total menjadi 6.120 orang.

Baca Juga  Angka Kematian COVID-19 di Ponorogo Lampaui Jatim

Berdasarkan situs Kementerian Kesehatan RI, dilaporkan ada 3.895 pasien sembuh dari Corona. Dengan penambahan itu, maka pasien dinyatakan sembuh dari Corona di RI total berjumlah 191.853 orang.

Di sisi lain, pasien positif Corona yang meninggal dunia, Kamis  (24/9/2020), berjumlah 128 orang. Dengan demikian, total pasien positif Covid-19 yang meninggal menjadi 10.105 orang.

Khusus Provinsi Riau, pasien sembuh hari ini berjumlah 115 orang, dengan demikian total pasien sembuh menjadi 2.767 orang.

Baca Juga  Update Corona Riau 19 September: Tambah 81 Kasus, 198 Sembuh, 9 Wafat

Sementara pasien Covid-19 yang meninggal karena Corona di Provinsi Riau hari ini ada 9 orang, dengan demikian total sudah sembuh menjadi 117 orang.

Berikut sebaran 4.634 kasus baru Corona di Indonesia, Kamis (24/9/2020):

DKI Jakarta: 1.044 kasus

Jawa Barat: 804 kasus

Jawa Tengah: 434 kasus

Jawa Timur: 343 kasus

Sumatera Barat: 302 kasus

Papua: 266 kasus

Riau: 231 kasus

Kalimantan Timur: 195 kasus

Sulawesi Selatan: 165 kasus

Baca Juga  Lagi, Hari Ini Tidak Ada Pasien Corona di Riau Wafat, Berikut Data Lengkapnya

Banten: 130 kasus

Bali: 119 kasus

Sumatera Utara: 96 kasus

Sumatera Selatan : 83 kasus

Sulawesi Tenggara: 71 kasus

Kalimantan Selatan: 63 kasus

Aceh: 56 kasus

Kalimantan Tengah: 39 kasus

Nusa Tenggara Barat: 39 kasus

DI Yogyakarta: 22 kasus

Sulawesi Utara: 22 kasus

Lampung: 21 kasus

Kalimantan Utara: 18 kasus

Nusa Tenggara Timur: 18 kasus

Kalimantan Barat: 16 kasus

Kepulauan Riau: 11 kasus

Bengkulu: 7 kasus

Sulawesi Barat: 6 kasus

Jambi: 4 kasus

Sulawesi Tengah: 4 kasus

Maluku Utara: 4 kasus

Bangka Belitung: 1 kasus. (zon/riausatu.com)

News Feed