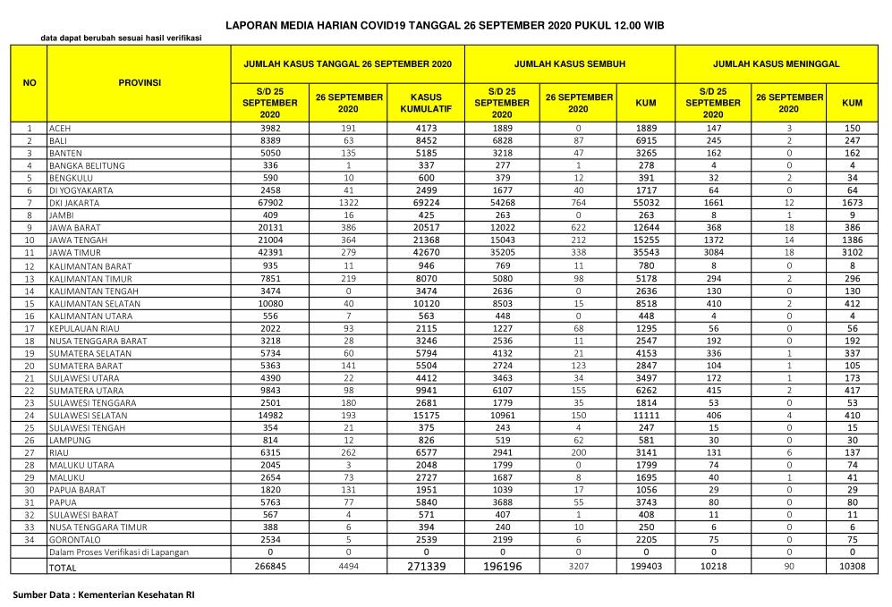
PEKANBARU – Kasus positif virus Corona (Covid-19) di Republik Indonesia hari ini, Sabtu (26/9/2020), bertambah 4.494 orang. Dengan penambahan tersebut, total kasus positif virus Corona di Indonesia hari ini menjadi 271.339 orang.
Sementara untuk Provinsi Riau, pasien positif bertambah 262 orang. Dengan demikian, pasien Covid-19 di Riau berjumlah 6.577 orang.
Berdasarkan situs Kementerian Kesehatan RI, dilaporkan ada 3.207 pasien sembuh dari Corona. Dengan penambahan itu, maka pasien dinyatakan sembuh dari Corona di RI total berjumlah 199.403 orang.
Di sisi lain, pasien positif Corona yang meninggal dunia, Sabtu (26/9/2020), berjumlah 90 orang. Dengan demikian, total pasien positif Covid-19 yang meninggal hingga saat ini berjumlah 10.308 orang.
Khusus Provinsi Riau, pasien sembuh hari ini berjumlah 200 orang, dengan demikian total pasien sembuh menjadi 3.141 orang.
Sementara pasien Covid-19 yang meninggal karena Corona di Provinsi Riau hari ini ada 6 orang, dengan demikian total 137 orang. (zon/riausatu.com)








