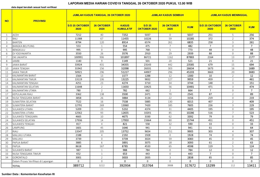
PEKANBARU – Kasus positif virus Corona (Covid-19) di Indonesia hari ini, Senin (26/10/2020), bertambah 3.222 orang. Dengan penambahan tersebut, total kasus positif virus Corona di Indonesia menjadi 392.934 orang.
Sementara untuk Provinsi Riau, pasien positif Corona bertambah 205 orang. Dengan demikian, total pasien Covid-19 di Riau berjumlah 13.752 orang sejak pandemi Covid-19 menyerang Indonesia.
Berdasarkan situs Kementerian Kesehatan RI, hari ini dilaporkan juga ada 3.908 pasien sembuh dari Corona. Dengan penambahan itu, maka pasien sembuh dari Corona di RI total berjumlah 317.672 orang.
Khusus Provinsi Riau, pasien positif Covid-19 yang sembuh hari ini berjumlah 251 orang. Dengan demikian, total pasien sembuh di Negeri Lancang Kuning itu menjadi 9.905 orang.
Di sisi lain, pasien positif Corona yang meninggal dunia di Indonesia hari ini ada 112 orang. Dengan demikian, total pasien positif Covid-19 yang meninggal menjadi 13.411 orang.
Sementara pasien Covid-19 yang meninggal karena Corona di Provinsi Riau hari ini ada 4 orang, dengan demikian total sudah mencapai 307 orang.
Berikut sebaran 3.222 kasus baru Corona di Indonesia, Senin (26/10/2020):
DKI Jakarta: 906 kasus
Jawa Barat: 431 kasus
Jawa Timur: 296 kasus
Sumatera Barat: 269 kasus
Riau: 205 kasus
Papua: 167 kasus
Jawa Tengah: 156 kasus
Kepulauan Riau: 138 kasus
Banten: 120 kasus
Kalimantan Timur: 106 kasus
Sumatera Utara: 93 kasus
Bali: 67 kasus
Lampung: 45 kasus
Aceh: 40 kasus
DI Yogyakarta: 26 kasus
NTB: 26 kasus
Kalimantan Tengah: 23 kasus
Sulawesi Utara: 23 kasus
Sumatera Selatan: 16 kasus
Sulawesi Selatan: 14 kasus
Kalimantan Barat: 13 kasus
Sulawesi Tenggara: 10 kasus
Jambi: 9 kasus
Papua Barat: 6 kasus
Sulawesi Tengah: 4 kasus
Maluku Utara: 4 kasus
Kalimantan Selatan: 2 kasus
Kalimantan Utara: 2 kasus
Gorontalo: 2 kasus
Bangka Belitung: 1 kasus
Sulawesi Barat: 1 kasus. (zon/riausatu.com)








