oleh

Rekor Pecah! Kasus Corona di Riau Bertambah 99 Orang Hari Ini

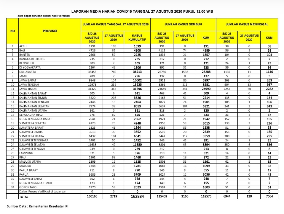
PEKANBARU – Kasus positif virus Corona (COVID-19) di Indonesia, per 27 Agustus 2020, bertambah 2.719. Dengan penambahan tersebut, total kasus positif virus Corona di Indonesia hari ini menjadi 162.884 kasus terkonfirmasi semenjak virus Corona mewabah di Indonesia.

Berdasarkan data Kementerian Kesehatan RI, Kamis (27/8/2020), sama halnya dengan Indonesia yang memecahkan rekor penambahan kasus positif, untuk Riau juga pecah rekor baru. Hari ini, Kamis (27/8/2020), pasien positif Covid-19 di Riau bertambah 99 orang; setelah rekor penambahan kasus positif sebelumnya, Selasa (4/8/2020), yakni 71 orang.

Dengan penambahan hari ini maka kasus positif Covid-19 di Riau menjadi 1.460 orang. Sementara pasien sembuh hari ini dilaporkan 18 orang, dan meninggal tiga orang, dengan demikian total yang meninggal menjadi 25 orang.

Berikut sebaran 2.719 kasus baru Corona di Indonesia, Kamis (27/8/2020):


DKI Jakarta: 760 kasus
Jawa Timur: 367 kasus
Jawa Tengah: 252 kasus
Kalimantan Timur: 206 kasus
Jawa Barat: 154 kasus
Aceh: 108
Sumatera Utara: 104 kasus
Riau: 99 kasus
Bali: 82 kasus
Banten: 59 kasus
Gorontalo: 53 kasus
Kepulauan Riau: 50 kasus

Baca Juga  Pengamen dan Pengemis Marak di Denpasar

Sulawesi Tenggara: 50 kasus

DI Yogyakarta: 42 kasus

Sulawesi Selatan: 42 kasus
Sumatera Barat: 41 kasus

Kalimantan Selatan: 39 kasus

Sulawesi Utara: 39 kasus

Maluku: 33 kasus

Sumatera Selatan: 25 kasus

Papua: 23 kasus

Nusa Tenggara Barat: 21 kasus

Kalimantan Tengah: 18 kasus

Maluku Utara: 16 kasus

Papua Barat: 9 kasus

Baca Juga  Tambah 181 Kasus Positif Corona di Riau 2 Oktober, Meninggal 6

Jambi: 7 kasus

Kalimantan Barat: 6 kasus

Sulawesi Barat: 6 kasus

Lampung: 5 kasus

Bengkulu: 2 kasus

Nusa Tenggara Timur: 1 kasus. (zon/riausatu.com)

Komentar

News Feed