oleh

Lagi dan Lagi, Pasien Covid-19 di Riau Hari Ini Lebih Banyak Sembuh dari Kasus Baru

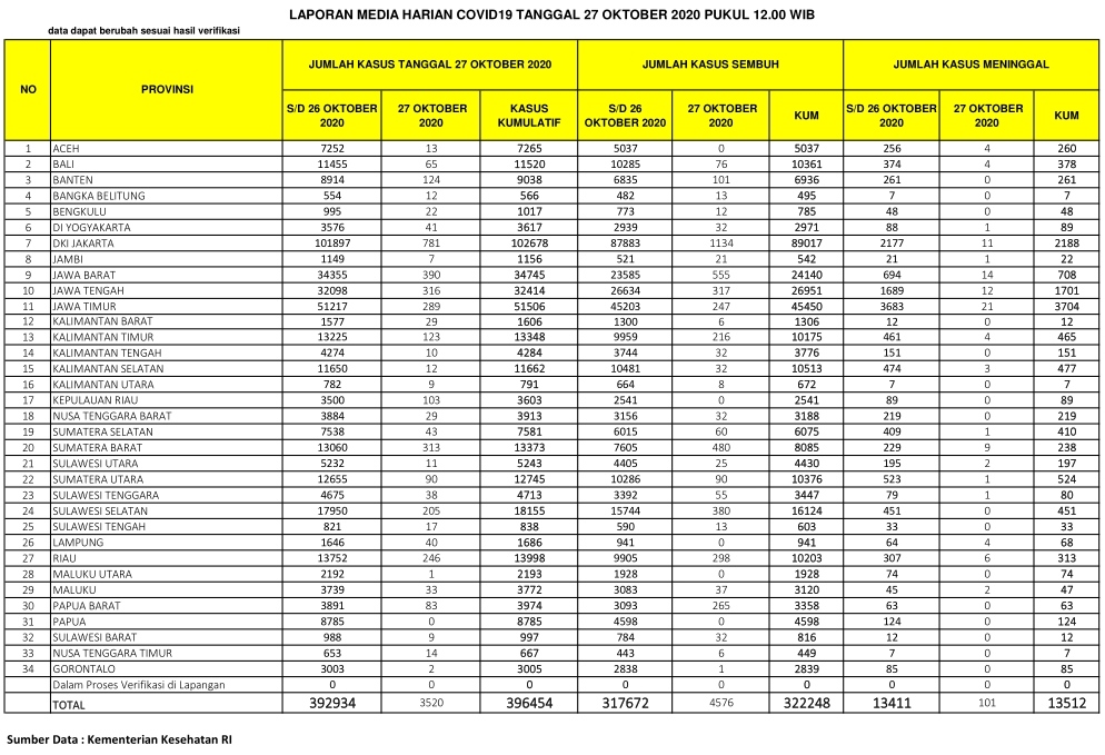
PEKANBARU – Kasus positif virus Corona (Covid-19) di Indonesia hari ini, Selasa  (27/10/2020), bertambah 3.520  orang. Dengan penambahan tersebut, total kasus positif virus Corona di Indonesia menjadi 396.454 orang.

Sementara untuk Provinsi Riau, pasien positif Corona bertambah 246 orang. Dengan demikian, total pasien Covid-19 di Riau berjumlah 13.998 orang sejak pandemi Covid-19 menyerang Indonesia.

Buat Provinsi Riau ini merupakan rekor baru karena rekor penambahan pasien positif Covid-19 per hari sebelumnya berjumlah 352 orang, pada Rabu  (30/9/2020).

Baca Juga  SMSI Riau dan PT SPR Teken Nota Kesepahaman untuk Publikasi dan Pengembangan Kelembagaan

Berdasarkan situs Kementerian Kesehatan RI, hari ini dilaporkan juga ada 4.576 pasien sembuh dari Corona. Dengan penambahan itu, maka pasien sembuh dari Corona di RI total berjumlah 322.248 orang.

Khusus Provinsi Riau, pasien positif Covid-19 yang sembuh hari ini berjumlah 298 orang. Dengan demikian, total pasien sembuh di Negeri Lancang Kuning itu menjadi 10.203 orang.

Di sisi lain, pasien positif Corona yang meninggal dunia di Indonesia hari ini ada 101 orang. Dengan demikian, total pasien positif Covid-19 yang meninggal menjadi 13.512 orang.

Baca Juga  Riau Tambah 1.251, Ini Sebaran 31.753 Kasus Baru Corona RI pada 7 Agustus

Sementara pasien Covid-19 yang meninggal karena Corona di Provinsi Riau hari ini ada 6 orang, dengan demikian total sudah mencapai 313 orang.

Berikut sebaran 3.520 kasus baru Corona di Indonesia, Selasa  (27/10/2020):

DKI Jakarta: 781 kasus

Jawa Barat: 390 kasus
Jawa Tengah: 316 kasus
Sumatera Barat: 313 kasus
Jawa Timur: 289 kasus
Riau: 246 kasus
Sulawesi Selatan: 205 kasus
Banten: 124 kasus
Kalimantan Timur: 124 kasus
Kepulauan Riau: 103 kasus
Sumatera Utara: 90 kasus
Papua Barat: 83 kasus
Bali: 65 kasus
Sumatera Selatan: 43 kasus
DI Yogyakarta: 41 kasus
Lampung: 40 kasus
Sulawesi Tenggara: 38 kasus
Maluku: 33 kasus
Kalimantan Barat: 29 kasus
NTB: 29 kasus
Bengkulu: 22 kasus
Sulawesi Tengah: 17 kasus
NTT: 14 kasus
Aceh: 13 kasus
Bangka Belitung: 12 kasus
Kalimantan Selatan: 12 kasus
Sulawesi Utara: 11 kasus
Kalimantan Tengah: 10 kasus
Kalimantan Utara: 9 kasus
Sulawesi Barat: 9 kasus
Jambi: 7 kasus
Gorontalo: 2 kasus
Maluku Utara: 1 kasus. (zon/riausatu.com)

News Feed