oleh

Riau Laporkan 63 Kasus, Berikut Sebaran 5.560 Kasus Baru Corona RI 28 Februari

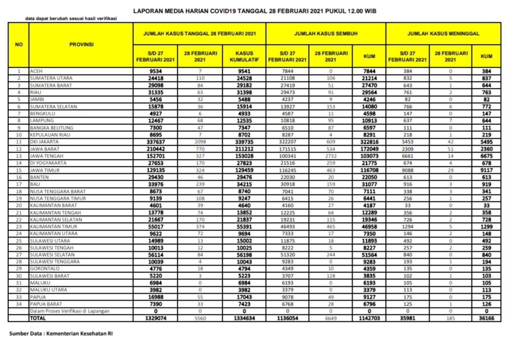
PEKANBARU – Kasus positif virus Corona (Covid-19) di Republik Indonesia (RI), Ahad  (28/2/2021), bertambah 5.560 orang. Dengan penambahan tersebut, total kasus positif virus Corona di Indonesia menjadi
1.334.634 kasus.

Sementara untuk Provinsi Riau, pasien positif Corona bertambah 63 orang. Dengan demikian, total pasien Covid-19 di Riau berjumlah 31.398 orang sejak pandemi Covid-19 menyerang Indonesia.

Berdasarkan situs Kementerian Kesehatan RI, hari ini dilaporkan juga ada 6.649 pasien sembuh dari Corona. Dengan penambahan itu, maka pasien sembuh dari Corona di Indonesia menjadi 1.142.703 orang.

Baca Juga  Riau Tambah 1.202, Ini Sebaran 30.738 Kasus Baru Corona di RI Awal Agustus

Khusus Provinsi Riau, pasien positif Covid-19 yang sembuh hari ini berjumlah 91 orang. Dengan demikian, total pasien sembuh di Negeri Lancang Kuning itu menjadi 29.564 orang.

Di sisi lain, pasien positif Corona yang meninggal dunia di Indonesia hari ini ada 185 orang. Dengan demikian, total pasien positif Covid-19 yang meninggal menjadi 36.166 orang.

Sementara pasien Covid-19 yang meninggal karena Corona di Provinsi Riau hari ini ada 2 orang, dengan demikian total sudah mencapai 763 orang.

Baca Juga  Survei Pra Pilgubri: Elektabilitas Syamsuar Masih Tertinggi, Disusul Edy Natar

Berikut sebaran 5.560 kasus baru Corona di Indonesia, Ahad (28/2/2021):

DKI Jakarta: 2.098 kasus
Jawa Barat: 770 kasus
Kalimantan Timur: 374 kasus
Jawa Tengah: 327 kasus
Jawa Timur: 324 kasus
Bali: 239 kasus
DI Yogyakarta: 170 kasus
Kalimantan Selatan: 170 kasus
Sumatera Utara: 110 kasus
Nusa Tenggara Timur: 108 kasus
Sumatera Barat: 84 kasus
Sulawesi Selatan: 84 kasus
Kalimantan Tengah: 74 kasus
Kalimantan Utara: 72 kasus
Lampung: 68 kasus
Nusa Tenggara Barat: 67 kasus
Riau: 63 kasus
Papua: 55 kasus
Bangka Belitung: 47 kasus
Banten: 46 kasus
Kalimantan Barat: 39 kasus
Sumatera Selatan: 36 kasus
Papua Barat: 33 kasus
Jambi: 32 kasus
Gorontalo: 18 kasus
Sulawesi Utara: 13 kasus
Sulawesi Tengah: 12 kasus
Aceh: 7 kasus
Kepulauan Riau: 7 kasus
Bengkulu: 6 kasus
Sulawesi Tenggara: 4 kasus
Sulawesi Barat: 3 kasus. (zon/riausatu.com)

News Feed