oleh

Kembali Naik! Kasus Baru Corona Riau Hari Ini 254, Meninggal 4

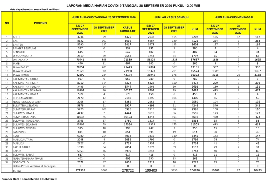
PEKANBARU – Kasus positif virus Corona (Covid-19) di Indonesia hari ini, Senin (28/9/2020), bertambah 3.509 orang. Dengan penambahan tersebut, total kasus positif virus Corona di Indonesia hari ini menjadi 278.722 orang.

Sementara untuk Provinsi Riau, pasien positif Corona bertambah 254 orang. Dengan demikian, total pasien Covid-19 di Riau berjumlah 7.034 orang sejak pandemi Covid-19 menyerang Indonesia.

Berdasarkan situs Kementerian Kesehatan RI, hari ini dilaporkan juga ada 3.856 pasien sembuh dari Corona. Dengan penambahan itu, maka pasien sembuh dari Corona di RI total berjumlah 206.870 orang.

Baca Juga  Berikut Sebaran 12.568 Kasus Baru Corona RI 20 Januari, Riau Peringkat 16

Khusus Provinsi Riau, pasien positif Covid-19 yang sembuh hari ini berjumlah 110 orang. Dengan demikian, total pasien sembuh di Negeri Lancang Kuning itu menjadi 3.445 orang.

Di sisi lain, pasien positif Corona yang meninggal dunia di Indonesia hari ini berjumlah 87 orang. Dengan demikian, total pasien positif Covid-19 yang meninggal menjadi 10.473 orang.

Baca Juga  Nihil Kasus Baru Corona Riau 2 Januari, Ini Sebaran Lengkapnya

Sementara pasien Covid-19 yang meninggal karena Corona di Provinsi Riau hari ini ada 4 orang, dengan demikian total sudah mencapai 147 orang.

Berikut sebaran 3.509 kasus baru Corona di Indonesia, Senin (28/9/2020):

DKI Jakarta: 898 kasus
Jawa Barat: 489 kasus
Jawa Tengah: 304 kasus
Jawa Timur: 284 kasus
Riau: 254 kasus
Sumatera Barat: 206 kasus
Banten: 127 kasus
Kalimantan Timur: 114 kasus
Bali: 107 kasus
Gorontalo: 87 kasus
Sumatera Utara: 85 kasus
Aceh: 79 kasus
Kalimantan Tengah: 64 kasus
Papua Barat: 64 kasus
Sulawesi Selatan: 59 kasus
Sumatera Selatan: 51 kasus
Papua: 46 kasus
Kalimantan Selatan: 40 kasus
DI Yogyakarta: 39 kasus
Jambi: 21 kasus
Sulawesi Tengah: 18 kasus
Nusa Tenggara Barat: 17 kasus
Sulawesi Tenggara: 17 kasus
Kepulauan Riau: 12 kasus
Lampung: 10 kasus
Sulawesi Utara: 7 kasus
Kalimantan Utara: 4 kasus
Maluku Utara: 4 kasus
Bengkulu: 2 kasus. (zon/riausatu.com)

News Feed