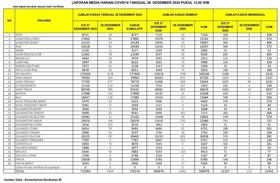
PEKANBARU – Kasus positif virus Corona (Covid-19) di Republik Indonesia (RI), Senin (28/12/2020), bertambah 5.854 orang. Dengan penambahan tersebut, total kasus positif virus Corona di Indonesia menjadi 719.219 orang.
Sementara untuk Provinsi Riau, pasien positif Corona bertambah 81 orang. Dengan demikian, total pasien Covid-19 di Riau berjumlah 24.599 orang sejak pandemi Covid-19 menyerang Indonesia.
Berdasarkan situs Kementerian Kesehatan RI, hari ini dilaporkan juga ada 6.302 pasien sembuh dari Corona. Dengan penambahan itu, maka pasien sembuh dari Corona di Indonesia menjadi 589.978 orang.
Khusus Provinsi Riau, pasien positif Covid-19 yang sembuh hari ini berjumlah 171 orang. Dengan demikian, total pasien sembuh di Negeri Lancang Kuning itu menjadi 22.597 orang.
Di sisi lain, pasien positif Corona yang meninggal dunia di Indonesia hari ini ada 215 orang. Dengan demikian, total pasien positif Covid-19 yang meninggal menjadi 21.452 orang.
Sementara pasien Covid-19 yang meninggal karena Corona di Provinsi Riau hari ini ada 4 orang, dengan demikian total sudah mencapai 573 orang.
Berikut sebaran 5.854 kasus baru Corona di Indonesia, Senin (28/12/2020):
DKI Jakarta: 1.678 kasus
Jawa Tengah: 977 kasus
Jawa Timur: 784 kasus
Jawa Barat: 403 kasus
Sulawesi Selatan: 337 kasus
DI Yogyakarta: 210 kasus
Kalimantan Utara: 202 kasus
Bali: 138 kasus
Banten: 120 kasus
Kalimantan Timur: 109 kasus
Sumatera Utara: 82 kasus
Riau: 81 kasus
Sulawesi Utara: 79 kasus
Sumatera Selatan: 78 kasus
Lampung: 78 kasus
Gorontalo: 73 kasus
Bangka Belitung: 61 kasus
NTB: 53 kasus
Kalimantan Tengah: 43 kasus
Maluku: 43 kasus
Sulawesi Tengah: 41 kasus
Kepulauan Riau: 33 kasus
Papua: 29 kasus
Kalimantan Selatan: 21 kasus
Bengkulu: 20 kasus
NTT: 17 kasus
Aceh: 16 kasus
Sumatera Barat: 16 kasus
Jambi: 11 kasus
Sulawesi Barat: 9 kasus
Maluku Utara: 8 kasus
Sulawesi Tenggara: 4 kasus
Papua Barat: 3 kasus. (zon/riausatu.com)










