oleh

Update Corona Riau 29 April: Tambah 579 Kasus Baru, 281 Sembuh, 10 Meninggal

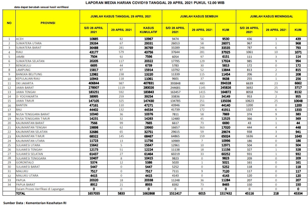
PEKANBARU – Kasus positif virus Corona (Covid-19) di Republik Indonesia (RI), Kamis (29/4/2021), bertambah 5.833 orang. Dengan penambahan tersebut, total kasus positif virus Corona di Indonesia menjadi menjadi 1.662.868 orang.

Sementara untuk Provinsi Riau, pasien positif Corona bertambah 579 orang. Dengan demikian, total pasien Covid-19 di Riau berjumlah 43.756 orang sejak pandemi Covid-19 menyerang Indonesia.

Berdasarkan situs Kementerian Kesehatan RI, hari ini dilaporkan juga ada 6.015 pasien sembuh dari Corona. Dengan penambahan itu, maka pasien sembuh dari Corona di Indonesia menjadi 1.517.432 orang.

Baca Juga  Update Corona di RI 2 Maret: Riau Tambah 89 Kasus Baru, 106 Sembuh, 1 Meninggal

Khusus Provinsi Riau, pasien positif Covid-19 yang sembuh hari ini berjumlah 281 orang. Dengan demikian, total pasien sembuh di Negeri Lancang Kuning itu menjadi 37.925 orang.

Di sisi lain, pasien positif Corona yang meninggal dunia di Indonesia hari ini ada 218 orang. Dengan demikian, total pasien positif Covid-19 yang meninggal menjadi 45.334 orang.

Sementara pasien Covid-19 di Provinsi Riau yang meninggal hari ini ada 10 orang, dengan demikian total 1.071 orang.

Baca Juga  Riau Bertahan di Posisi Empat, Ini Sebaran 5.656 Kasus Baru Corona RI pada 14 April

Berikut sebaran 5.833 kasus baru Corona di Indonesia, Kamis (29/4/2021):

Jawa Barat: 1.119 kasus
DKI Jakarta: 987 kasus
Jawa Tengah: 592 kasus
Riau: 579 kasus
Jawa Timur: 325 kasus
Sumatera Barat: 281 kasus
DI Yogyakarta: 259 kasus
Bangka Belitung: 238 kasus
Kalimantan Timur: 145 kasus
Bali: 132 kasus
Kepulauan Riau: 118 kasus
Sumatera Selatan: 117 kasus
Banten: 110 kasus
Kalimantan Barat: 99 kasus
Lampung: 97 kasus
Jambi: 92 kasus
Aceh: 82 kasus
Sumatera Utara: 67 kasus
Kalimantan Selatan: 65 kasus
Kalimantan Tengah: 62 kasus
Sulawesi Tengah: 51 kasus
Bengkulu: 44 kasus
Nusa Tenggara Barat: 36 kasus
Nusa Tenggara Timur: 32 kasus
Sulawesi Selatan: 27 kasus
Papua Barat: 21 kasus
Papua: 18 kasus
Kalimantan Utara: 13 kasus
Gorontalo: 12 kasus
Sulawesi Tenggara: 8 kasus
Sulawesi Utara: 5 kasus
Sulawesi Barat: 0 kasus
Maluku: 0 kasus
Maluku Utara: 0 kasus. (zon/riausatu.com)

News Feed