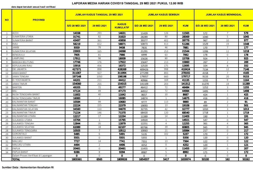
PEKANBARU – Kasus positif virus Corona (Covid-19) di Republik Indonesia (RI), Sabtu (29/5/2021), bertambah 6.565 orang. Dengan penambahan tersebut, total kasus positif virus Corona di Indonesia menjadi 1.809.926 orang.
Sementara untuk Provinsi Riau, pasien positif Corona bertambah 652 orang. Dengan demikian, total pasien Covid-19 di Riau berjumlah 58.871 orang sejak pandemi Covid-19 menyerang Indonesia.
Berdasarkan situs Kementerian Kesehatan RI, hari ini dilaporkan juga ada 5.417 pasien sembuh dari Corona. Dengan penambahan itu, maka pasien sembuh dari Corona di Indonesia menjadi 1.659.974 orang.
Khusus Provinsi Riau, pasien positif Covid-19 yang sembuh hari ini berjumlah 413 orang. Dengan demikian, total pasien sembuh di Negeri Lancang Kuning itu menjadi 51.286 orang.
Di sisi lain, pasien positif Corona yang meninggal dunia di Indonesia hari ini ada 162 orang. Dengan demikian, total pasien positif Covid-19 yang meninggal menjadi 50.262 orang.
Sementara pasien Covid-19 di Provinsi Riau yang meninggal hari ini ada 19 orang, dengan demikian total 1.548 orang.
Berikut sebaran 6.565 kasus baru Corona di Indonesia, Sabtu (29/5/2021):
Jawa Tengah: 1.050 kasus
Jawa Barat: 927 kasus
DKI Jakarta: 898 kasus
Riau: 652 kasus
Kepulauan Riau: 456 kasus
Sumatera Barat: 361 kasus
Aceh: 293 kasus
Jawa Timur: 255 kasus
DI Yogyakarta: 211 kasus
Bangka Belitung: 176 kasus
Sumatera Selatan: 165 kasus
Kalimantan Tengah: 155 kasus
Kalimantan Timur: 146 kasus
Kalimantan Selatan: 110 kasus
Kalimantan Barat: 99 kasus
Lampung: 98 kasus
Sumatera Utara: 82 kasus
Bengkulu: 81 kasus
Jambi: 79 kasus
Banten: 72 kasus
Bali: 49 kasus
Nusa Tenggara Barat: 40 kasus
Sulawesi Tengah: 35 kasus
Sulawesi Selatan: 18 kasus
Kalimantan Utara: 17 kasus
Maluku: 14 kasus
Papua Barat: 8 kasus
Sulawesi Tenggara: 7 kasus
Gorontalo: 6 kasus
Nusa Tenggara Timur: 2 kasus
Maluku Utara: 2 kasus
Sulawesi Utara: 1 kasus. (zon/riausatu.com)










