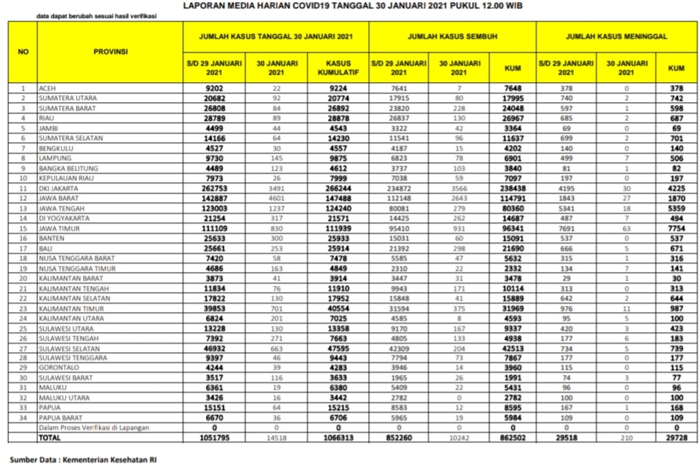
PEKANBARU – Kasus positif virus Corona (Covid-19) di Republik Indonesia (RI), Sabtu (30/1/2021), bertambah 14.518 orang. Dengan penambahan tersebut, total kasus positif virus Corona di Indonesia menjadi 1.066.313 kasus.
Sementara untuk Provinsi Riau, pasien positif Corona bertambah 89 orang. Dengan demikian, total pasien Covid-19 di Riau berjumlah 28.878 pandemi Covid-19 menyerang Indonesia.
Berdasarkan situs Kementerian Kesehatan RI, hari ini dilaporkan juga ada 10.242 pasien sembuh dari Corona. Dengan penambahan itu, maka pasien sembuh dari Corona di Indonesia menjadi 862.502 orang.
Khusus Provinsi Riau, pasien positif Covid-19 yang sembuh hari ini berjumlah 130 orang. Dengan demikian, total pasien sembuh di Negeri Lancang Kuning itu menjadi 26.967 orang.
Di sisi lain, pasien positif Corona yang meninggal dunia di Indonesia hari ini ada 210 orang. Dengan demikian, total pasien positif Covid-19 yang meninggal menjadi 29.728 orang.
Sementara pasien Covid-19 yang meninggal karena Corona di Provinsi Riau hari ini ada 2 orang, dengan demikian total sudah mencapai 687 orang.
Berikut sebaran 14.518 kasus baru Corona di Indonesia, Sabtu (30/1/2021):
Jawa Barat: 4.601 kasus
DKI Jakarta: 3.391 kasus
Jawa Tengah: 1.237 kasus
Jawa Timur: 830 kasus
Kalimantan Timur: 701 kasus
Sulawesi Selatan: 663 kasus
DI Yogyakarta: 317 kasus
Banten: 300 kasus
Sulawesi Tengah: 271 kasus
Bali: 253 kasus
Kalimantan Utara: 201 kasus
NTT: 162 kasus
Lampung: 145 kasus
Kalimantan Selatan: 130 kasus
Sulawesi Utara: 130 kasus
Bangka Belitung: 123 kasus
Sulawesi Barat: 116 kasus
Sumatera Utara: 92 kasus
Riau: 89 kasus
Sumatera Barat: 84 kasus
Kalimantan Tengah: 76 kasus
Sumatera Selatan: 64 kasus
Papua: 64 kasus
NTB: 58 kasus
Sulawesi Tenggara: 46 kasus
Jambi: 44 kasus
Kalimantan Barat: 41 kasus
Gorontalo: 39 kasus
Papua Barat: 36 kasus
Bengkulu: 30 kasus
Kepulauan Riau: 26 kasus
Aceh: 22 kasus
Maluku: 19 kasus
Maluku Utara: 16 kasus. (zon/riausatu.com)










