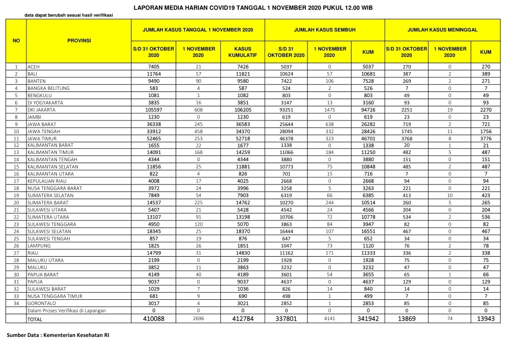
PEKANBARU – Kasus positif virus Corona (Covid-19) di Indonesia hari ini, Ahad (1/11/2020), bertambah 2.696 orang. Dengan penambahan tersebut, total kasus positif virus Corona di Indonesia menjadi 412.784 orang.
Sementara untuk Provinsi Riau, pasien positif Corona bertambah 31 orang. Dengan demikian, total pasien Covid-19 di Riau berjumlah 14.830 orang sejak pandemi Covid-19 menyerang Indonesia.
Berdasarkan situs Kementerian Kesehatan RI, hari ini dilaporkan juga ada 4.141 pasien sembuh dari Corona. Dengan penambahan itu, maka pasien sembuh dari Corona di RI total berjumlah 341.942 orang.
Khusus Provinsi Riau, pasien positif Covid-19 yang sembuh hari ini berjumlah 171 orang. Dengan demikian, total pasien sembuh di Negeri Lancang Kuning itu menjadi 11.333 orang.
Di sisi lain, pasien positif Corona yang meninggal dunia di Indonesia hari ini ada 74 orang. Dengan demikian, total pasien positif Covid-19 yang meninggal menjadi 13.943 orang.
Sementara pasien Covid-19 yang meninggal karena Corona di Provinsi Riau hari ini ada 2 orang, dengan demikian total sudah mencapai 338 orang.
Berikut sebaran 2.696 kasus baru Corona di Indonesia, Ahad (1/11/2020):
DKI Jakarta: 608 kasus
Jawa Tengah: 458 kasus
Jawa Timur: 253 kasus
Jawa Barat: 245 kasus
Sumatera Barat: 225 kasus
Kalimantan Timur: 168 kasus
Sulawesi Tenggara: 120 kasus
Sumatera Utara: 91 kasus
Banten: 90 kasus
Bali: 57 kasus
Sumatera Selatan: 54 kasus
Papua Barat: 40 kasus
Riau: 31 kasus
Lampung: 26 kasus
Kalimantan Selatan: 25 kasus
Sulawesi Selatan: 25 kasus
Nusa Tenggara Barat: 24 kasus
Kalimantan Barat: 22 kasus
Aceh: 21 kasus
Sulawesi Utara: 21 kasus
Sulawesi Tengah: 19 kasus
Kepulauan Riau: 17 kasus
DI Yogyakarta: 16 kasus
Maluku: 11 kasus
Nusa Tenggara Timur: 9 kasus
Sulawesi Barat: 7 kasus
Bangka Belitung: 4 kasus
Kalimantan Utara: 4 kasus
Gorontalo: 4 kasus
Bengkulu: 1 kasus. (zon/riausatu.com)








