oleh

Update Corona Riau Hari Ini: 127 Kasus Baru, 225 Sembuh

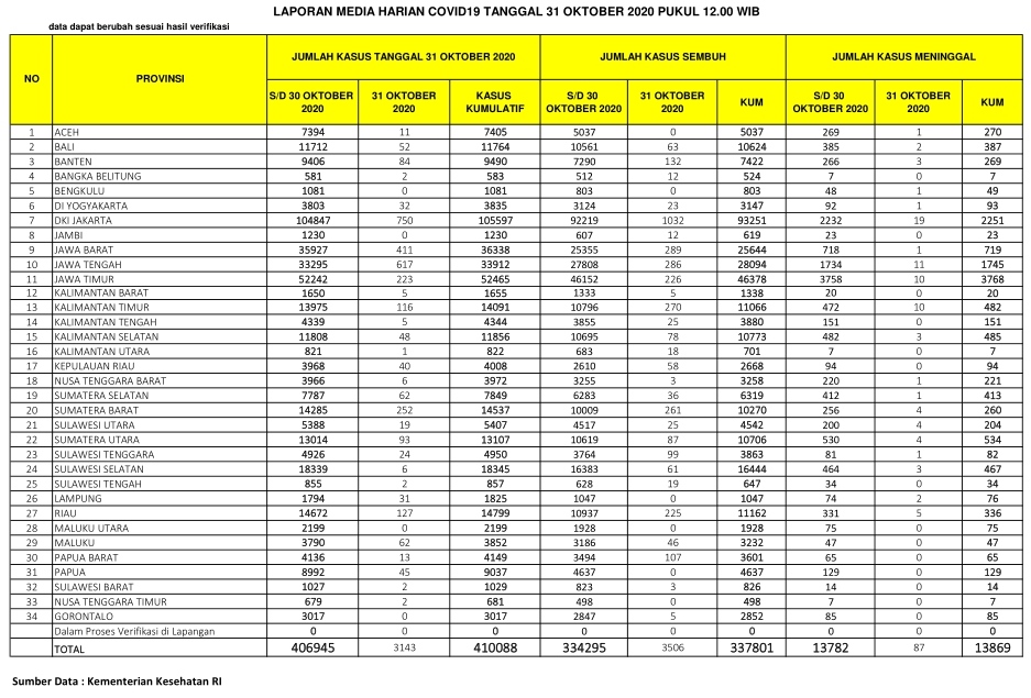
PEKANBARU – Kasus positif virus Corona (Covid-19) di Indonesia hari ini, Sabtu  (31/10/2020), bertambah 3.143 orang. Dengan penambahan tersebut, total kasus positif virus Corona di Indonesia menjadi 410.088 orang.

Sementara untuk Provinsi Riau, pasien positif Corona bertambah 127 orang. Dengan demikian, total pasien Covid-19 di Riau berjumlah 14.799 orang sejak pandemi Covid-19 menyerang Indonesia.

Berdasarkan situs Kementerian Kesehatan RI, hari ini dilaporkan juga ada 3.506 pasien sembuh dari Corona. Dengan penambahan itu, maka pasien sembuh dari Corona di RI total berjumlah 337.801 orang.

Baca Juga  Hari Pahlawan Kasus Baru Corona Riau Tambah 2, Ini Data Lengkapnya

Khusus Provinsi Riau, pasien positif Covid-19 yang sembuh hari ini berjumlah 225 orang. Dengan demikian, total pasien sembuh di Negeri Lancang Kuning itu menjadi 11.162 orang.

Di sisi lain, pasien positif Corona yang meninggal dunia di Indonesia hari ini ada 87 orang. Dengan demikian, total pasien positif Covid-19 yang meninggal menjadi 13.869 orang.

Baca Juga  Rekor 24.836 Kasus Corona di RI 1 Juli, Riau Sumbang 416, Berikut Sebarannya

Sementara pasien Covid-19 yang meninggal karena Corona di Provinsi Riau hari ini ada 5 orang, dengan demikian total sudah mencapai 336 orang.

Berikut sebaran 3.143 kasus baru Corona di Indonesia, Sabtu (31/10/2020):

DKI Jakarta: 750 kasus
Jawa Tengah: 617 kasus
Jawa Barat: 411 kasus
Sumatera Barat: 252 kasus
Jawa Timur: 223 kasus
Riau: 127 kasus
Kalimantan Timur: 116 kasus
Sumatera Utara: 93 kasus
Banten: 84 kasus
Sumatera Selatan: 62 kasus
Maluku: 62 kasus
Bali: 52 kasus
Kalimantan Selatan: 48 kasus
Papua: 45 kasus
Kepulauan Riau: 40 kasus
DI Yogyakarta: 32 kasus
Lampung: 31 kasus
Sulawesi Tenggara: 24 kasus
Sulawesi Utara: 19 kasus
Papua Barat: 13 kasus
Aceh: 11 kasus
NTB: 6 kasus
Sulawesi Selatan: 6 kasus
Kalimantan Barat: 5 kasus
Kalimantan Tengah: 5 kasus
Bangka Belitung: 2 kasus
Sulawesi Tengah: 2 kasus
Sulawesi Barat: 2 kasus
NTT: 2 kasus
Kalimantan Utara: 1 kasus. (zon/riausatu.com)

News Feed