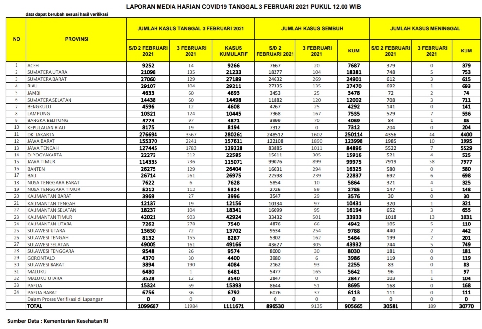
PEKANBARU – Kasus positif virus Corona (Covid-19) di Republik Indonesia (RI), Rabu (3/2/2021), bertambah 11.984 orang. Dengan penambahan tersebut, total kasus positif virus Corona di Indonesia menjadi 1.111.671 kasus.
Sementara untuk Provinsi Riau, pasien positif Corona bertambah 104 orang. Dengan demikian, total pasien Covid-19 di Riau berjumlah 29.211 pandemi Covid-19 menyerang Indonesia.
Berdasarkan situs Kementerian Kesehatan RI, hari ini dilaporkan juga ada 9.135 pasien sembuh dari Corona. Dengan penambahan itu, maka pasien sembuh dari Corona di Indonesia menjadi 905.665 orang.
Khusus Provinsi Riau, pasien positif Covid-19 yang sembuh hari ini berjumlah 135 orang. Dengan demikian, total pasien sembuh di Negeri Lancang Kuning itu menjadi 27.470 orang.
Di sisi lain, pasien positif Corona yang meninggal dunia di Indonesia hari ini ada 189 orang. Dengan demikian, total pasien positif Covid-19 yang meninggal menjadii 30.770 orang.
Sementara pasien Covid-19 yang meninggal karena Corona di Provinsi Riau hari ini ada 1 orang, dengan demikian total sudah mencapai 693 orang.
Berikut sebaran 11.984 kasus baru Corona di Indonesia, Rabu (3/2/2021):
DKI Jakarta: 3.567 kasus
Jawa Barat: 2.241 kasus
Jawa Tengah: 1.783 kasus
Kalimantan Timur: 903 kasus
Jawa Timur: 736 kasus
DI Yogyakarta: 312 kasus
Kalimantan Utara: 278 kasus
Bali: 261 kasus
Sulawesi Barat: 190 kasus
Sulawesi Selatan: 161 kasus
Sulawesi Tengah: 155 kasus
Sumatera Utara: 135 kasus
Sumatera Barat: 129 kasus
Banten: 129 kasus
Lampung: 124 kasus
NTT: 112 kasus
Riau: 104 kasus
Kalimantan Selatan: 104 kasus
Bangka Belitung: 97 kasus
Sulawesi Utara: 72 kasus
Papua: 69 kasus
Jambi: 60 kasus
Sumatera Selatan: 60 kasus
Papua Barat: 36 kasus
Gorontalo: 30 kasus
Kalimantan Barat: 27 kasus
Sulawesi Tenggara: 26 kasus
Kepulauan Riau: 19 kasus
Kalimantan Tengah: 19 kasus
Aceh: 14 kasus
Bengkulu: 12 kasus
Maluku Utara: 12 kasus
NTB: 6 kasus
Maluku: 1 kasus. (zon/riausatu.com)










